동기식 벨트 강도 비율 계산

각 풀리의 경우

F 2 - F 1 + F p = 0

연동 풀리의 경우

v v max

f b f max

F c = mv 2

F Tmax = k 1 F p + F c

F 1 = F tmax

F 2 = F 1 - F p

개별 연계 풀리 및 아이들러의 경우

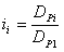
풀리의 i 지수

F Pi = P xi F p

F 1i = F 2i-1

F 2i = F 1i + F p i

여기에서

동기식 풀리의 경우

플랫 풀리의 경우

전체 벨트 연동의 경우

필요한 벨트 장착 장력은 다음과 같이 연동 풀리의 힘에 따라 결정됩니다.

아이들러를 사용한 전동의 예

연동 풀리

플랫 아이들러

연계 풀리

P x1 = 1

P x2 = 0

P x3 = 1

F P3 = P x3 F p

F 12 = F 21

F 22 = F 12 + F p2 = F 12

F c = m v 2

F Tmax = k 1 F p + F C

-

F 13 = F 22

F 11 = F Tmax

-

F 23 = F 13 + F p3 = F 11

F 21 = F 11 - F p

-

-

-

사용된 변수의 의미:

F p

유효 인장 [N]

F 1

주어진 풀리의 입력 면 벨트 장력 [N]

F 2

주어진 풀리의 출력 면 벨트 장력 [N]

z

주어진 풀리의 톱니 수/벨트 톱니 수 [-]

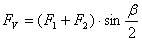
β

접촉 호/톱니면 경사 각도 [도]

P

전달할 동력 [W]

P R

주어진 전동 배치에 대한 벨트 동력비 [W]

c L

서비스 계수 [-]

β

접촉 호 [도]

T

주어진 풀리에 작용하는 토크 [Nm]

n

주어진 풀리의 속도 [rpm]

D p

피치 풀리 지름 [m]

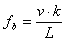
v

벨트 속도 [m/s]

k

벨트 전동 내 풀리 수 [-]

L

벨트 피치 길이 [m]

P

전달할 동력 [W]

m

주어진 폭에 대한 고유 벨트 가중치 [Kg/m]

k 1

벨트 인장 계수 [-]

F p

유효 인장 [N]

F c

원심력 [N]

F t

최소 벨트 장착 장력 [N]

P xi

주어진 풀리의 동력비 [-]

D pi

피치 풀리 지름 [m]

i

주어진 풀리의 전동비(속도비) [-]

T i

주어진 풀리에 작용하는 토크 [Nm]

η

효율 [-]

p b

원형 피치 [m]

D

공칭 플랫 풀리 지름 [m]

H

벨트 높이 [m]

h T

벨트 톱니 높이 [m]

a

피치 선 간격띄우기 [m]

주: i = 풀리 지수

계산 기본 사항