전달된 토크
설명:
P |
전달된 동력 [Kw] |
|
n |
속도 [min -1 ] |
그루브 지지 표면의 압력
1. 샤프트 내부 지름 d h > 0
a)
b) d min ≤d h 인 경우 d min = 1.1 d h [mm]
c) d min ≤ 1.5 d h 인 경우 d min = 1.5 d h [mm]
2. 샤프트 내부 지름 d h = 0
설명:
d min |
최소 샤프트 지름 [mm] |
|
d h |
샤프트 내부 지름 [mm] |
|
T |
토크 [Nm] |
|
K a |
적용 계수 |
|
K f |
피로 수명 계수 |
|
S v |
원하는 안전율 |
|
τ Al |
허용 전단 응력 |
토크를 전달할 최소 스플라인 길이
1. 고정 연결인 경우: |
![]() |
2. 유동 연결인 경우: |
![]() |
설명: |
T |
토크 [Nm] |
|
K a |
적용 계수 |
|
K f |
마모 수명 계수 |
|
K w |
적용 계수 |
|
K m |
하중 분배 계수 |
|
S v |
원하는 안전율 |
|
d s |
중간 지름 = (D + d) / 2 [mm] |
|
D |
그루브 단면의 외부 지름 [mm] |
|
d |
그루브 단면의 내부 지름 [mm] |
|
N |
그루브 수 [-] |
|
h |
그루브 높이 = (D - d) / 2 [mm] |
|
s |
모따기 [mm] |
|
h st |
연결 높이 h st = h - 2 s [mm] |
|
p Dmin |
샤프트 또는 그루브 지지 표면의 허용 압력 [MPa] |
허용 압력
1. 고정 연결인 경우: |
![]() |
2. 유동 연결인 경우: |
![]() |
설명: |
T |
토크 [Nm] |
|
K a |
적용 계수 |
|
K f |
마모 수명 계수 |
|
K w |
적용 계수 |
|
K m |
하중 분배 계수 |
|
S v |
원하는 안전율 |
|
d s |
중간 지름 = (D + d) / 2 [mm] |
|
D |
그루브 단면의 외부 지름 [mm] |
|
d |
그루브 단면의 내부 지름 [mm] |
|
N |
그루브 수 [-] |
|
h |
그루브 높이 = (D - d) / 2 [mm] |
|
s |
모따기 [mm] |
|
h st |
연결 높이 h st = h - 2 s [mm] |
|
l f |
활성 키 길이 [mm] |
강도 검사
p min ≤ p ds
p min ≤ p dh
설명:
p min |
계산된 최소 h/2 압력 [MPa] |
|
p ds |
샤프트의 허용 압력 [MPa] |
|
p dh |
허브의 허용 압력 [MPa] |
CSN 01 4950에 따른 미터법 단위 계산
굽힘 응력
설명:
s sf |
샤프트 활줄 톱니 이뿌리 높이 두께 |
s sf = 2.17m |
|
h |
샤프트 톱니 높이 |
h = 1.1m - 0.05 |
톱니면으로 중심 잡기, 플랫 그루브 밑면 |
h = 1.28m - 0.05 |
톱니면으로 중심 잡기, 둥근 그루브 밑면 |
||
h = 1.2 m |
외부 중심 잡기 |
그루브 지지 표면의 압력
설명:
h n |
내하중 스플라인 높이 |
h n = 0.9 m - 0.05 |
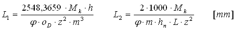
최소 스플라인 길이
L min = max {L 1 , L 2 } [mm]
설명:
권장값: L = (0.8 - 1.6) D
스플라인 검사
p ≤ p d 및 σ≤σ d
설명:
P |
전달된 동력 [kW] |
|
n |
속도 [min -1 ] |
|
z |
톱니 수 [-] |
|
p D |
톱니 접촉 표면의 허용 압력 [MPa] |
|
σ D |
허용 굽힘 응력 [MPa] |
|
L |
활성 스플라인 길이 [mm] |
|
D |
공칭 스플라인 지름 [mm] |
|
ϕ |
톱니면 접촉 계수 |