접촉 압력
최소 허브 길이
권장값: L = (0.6 - 3) d
한 볼트에서 담당하는 힘
강도 검사
p ≤ p A
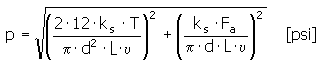
설명:
|
F a |
축 방향력 [lb] |
|
|
T |
토크 [lb ft] |
|
|
d |
샤프트 지름 [in] |
|
|
p |
접합의 접촉 압력 [psi] |
|
|
p A |
허용 압력 [psi] |
|
|
L |
허브 길이 [in] |
|
| υ |
고정 계수 υ = 0.008부터 0.1까지 [-] |
|
|
k s |
슬립 안전 [-] |
|
|
F |
한 볼트에서 담당하는 힘 [lb] |
|
|
F s |
모든 볼트에서 담당하는 힘 [lb] |
|
|
i |
총 볼트 수 [-] |