정확한 마이크로칩 인캡슐레이션 패들-시프트 해석을 위해 리드프레임 개구부를 통과하는 교차 유동을 고려해야 합니다.
패들 시프트는 리드프레임의 위쪽 및 아래쪽 캐비티 간 압력 차이로 인해 발생합니다. 압력 차이를 정확하게 계산하려면 교차 유동을 모델링해야 합니다.
일반적인 QFP 칩의 경우 아래 그림 1에 표시된 대로 리드프레임의 개구부가 칩의 코너, 측면 및 주변에 있습니다. Hele-Shaw 근사치를 사용하는 충전+보압 해석을 위해 개구부를 모델링하는 경우 개구부를 가로지르는 유동과 관련된 정처 로스를 고려해야 합니다. 정처 로스로 인해 모델링된 개구부의 크기가 실제 개구부와 다를 수 있습니다. 모델에서 사용할 개구부의 크기(두께)를 계산하려면 아래 방정식을 사용하십시오.
여기에서 각 항목은 다음과 같습니다.
그리고
인 경우
인 경우
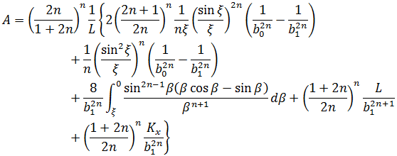
인 경우
여기서:
는
입니다.
은 power-law 인덱스입니다.
은 개구부 너비의 1/2입니다.
은 솔리드 리전 간 거리의 1/2입니다.
은 모델에서 사용할 개구부 너비의 1/2입니다. 모델의 개구부 길이는 리드프레임의 두께로 사용할 수 있습니다. 칩 주변(아래 그림 1에 표시)의 경우
을
의 1/2로 가정할 수 있으며
은 리드프레임의 두께입니다.
=0.74인 경우
=1.2041,
=0.2501 및
=0.903입니다.
,
및
의 값은
에 따라 약간만 달라지므로 이러한 값을
의 다른 값에 사용할 수 있습니다. 근사치를 구하기 위해
는
로 사용할 수 있습니다. 방정식 2의 적분항은 다음 방정식으로 근사치를 계산할 수 있습니다.
일부 리전에는 개구부가 너무 많아 시뮬레이션에서 모델링할 수 없습니다. 예를 들어 측면 리전에는 수십 개의 개구부가 있을 수 있습니다. 다음 방정식을 사용하면 동일한 크기의
개구부를 하나로 결합하여 단일 개구부의 크기를 확인할 수 있습니다.
캐비티의 두께와 관련하여 한 측면의 두께를 모델링에 사용할 수 있습니다. 그러나 개구부가 큰 경우(칩의 주변에 있는 개구부) 두 캐비티의 결합된 두께를 사용하십시오. 모델에서 와이어는 무시할 수 있습니다.
캐비티를 모델링하는 또 다른 방법은 다음과 같습니다. 칩 주변에 있는 큰 개구부 리전의 두께는 캐비티 한 측면의 두께로 모델링됩니다. 그러나 이 리전의 형상 계수는 0.5이고, 다른 리전의 형상 계수는 1입니다.
칩 캐비티 모델에 대한 예가 그림 1에 표시되어 있습니다. 이 모델에는 위쪽과 아래쪽 캐비티가 있고 위쪽과 아래쪽 캐비티를 연결하는 캐비티가 있습니다. 위쪽과 아래쪽 캐비티는 L(리드프레임의 두께)로 구분됩니다.

교차 유동 요소가 있는 캐비티 모델링의 한 가지 예
여기서:
= 위쪽 캐비티
= 교차 유동 요소
= 아래쪽 캐비티