섬유 배향은 기계적(탄성) 강도 및 성형 제품의 강성을 결정하는 주요 요소 중 하나입니다.
제품의 섬유 배향 분포를 알고 있는 경우 짧은 섬유 컴포지트의 기계적 속성을 예측하기 위해 개발되었습니다.
기계적 속성을 계산하려면 모든 이론에서 다음과 같은 2단계 절차를 따릅니다.
따라서 이 방법은 섬유 길이 및 섬유 배향의 영향을 독립적으로 고려합니다.
Tandon-Weng 모델은 컴포지트 재료의 단일 지향성 기계적 속성 계산의 기초로 사용됩니다. Autodesk Moldflow Insight 구현에서도 Tandon-Weng 모델의 푸아송 비 계산에 대한 Tucker/Liang의 처리를 고려합니다.
해석에 대한 입력으로 필요한 섬유 및 고분자 속성은 다음과 같습니다.
(섬유의 세로 계수)
(섬유의 가로 계수)
(섬유의 세로 푸아송 비)
(섬유의 세로 전단 계수)
(고분자의 세로 계수)
(고분자의 가로 계수)
(고분자의 세로 푸아송 비)
(고분자의 세로 전단 계수)
(평균 섬유 길이)
(평균 섬유 지름)
(섬유의 체적 분율) 컴포지트 재료의 각 요소에 대해 다음과 같은 기본적인 기계적 속성이 도출됩니다.
(세로 계수)
(가로 계수)
(평면 전단 계수)
(평면 이탈 전단 계수)
(평면 푸아송 비)
(평면 이탈 푸아송 비) Tandon Weng 모델에서는 짧은 섬유 강화 컴포지트를 유한 탄성 고분자 매트릭스에 내장된 단일 지향성 정렬 타원체 함유물의 특수한 사례로 처리합니다.
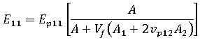
단일 축 정렬 시스템의 세로 계수는 다음과 같이 기록할 수 있습니다.

여기서
,
그리고
는 Tandon Weng 논문의 변수와 관련된 변수입니다.

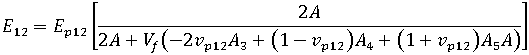
여기에서 각 항목은 다음과 같습니다.
,
,
및
는 Tandon Weng 논문의 변수와 관련된 변수입니다.
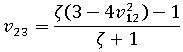
컴포지트 재료의 세로 및 가로 전단 계수와 푸아송 비를 계산할 때 Halpin-Tsai 절차가 적용됩니다.





는 다음과 같이 정의되는 고분자의 벌크 계수입니다. 

