잔류 응력 수축 예측 모델은 선형 열점탄성 재료 동작을 가정하여 공식화되었습니다. 이 모델은 재료가 금형의 압력을 받아 냉각되는 동안 생긴 응력을 고려합니다. 이 방법에서는 수축 변형을 계산하는 대신 각 요소에 대한 잔류 응력 분포를 직접 계산합니다.
잔류 응력 분포는 유동에 평행 및 수직인 방향으로 각 요소의 두께에 응력을 제공합니다. 이 응력 분포는 응력 해석 프로그램의 입력이 되어 제품의 변형된 형상을 얻습니다. 또한 재료에 실험 수축 데이터를 사용할 수 있는 경우 잔류 변형 방법을 사용할 때보다 더 정확하게 수축을 예측하므로 제품 변형을 얻을 수 있습니다.
모델은 선형 열점탄성 재료 동작을 가정하여 공식화되었습니다. 이 모델은 재료가 금형의 압력을 받아 냉각되는 동안 생긴 응력을 고려합니다. 특히 이 모델은 압력 유도 응력뿐만 아니라 재료의 고화 및 후속 수축으로 발생되는 열 유도 응력을 고려합니다. 압력 유도 응력은 고화층을 형성하는 고화된 재료에서 용융 압력의 동작에 의해 발생됩니다. 이론상 이 모델은 재료에 수축 데이터를 사용할 수 없는 경우에도 사용할 수 있다는 이점이 있습니다. 그러나 수축 데이터를 사용할 수 있는 경우 성능이 현저하게 향상됩니다.
수축 및 변형 예측은 계산된 열 및 압력 유도 잔류 응력 분포를 기반으로 합니다. 현재 개발의 계산 절차는 아래에 나열되어 있으며, 섬유 충전 재료에 대한 절차입니다. 충전되지 않은 재료의 경우 절차는 비슷하지만 기계적 속성 계산이 필요하지 않습니다.
각 시간 단계의 경우:
열기계 속성:

일 경우 다음 시간 단계로 이동하십시오(1단계에서 반복). 참고: 잔류 열 응력 수축 모델을 선택하면 변형 해석에서 비대칭 충전+보압 해석에 의해 생성된 비대칭 정보를 사용합니다. 이 비대칭은 금형의 두 면 간 온도 차이 또는/및 분기 지오메트리에 의해 발생될 수 있습니다. 따라서 냉각 해석 결과가 없는 경우에도 제품에 분기 지오메트리가 있으면 변형 결과에 몇 가지 비대칭 효과가 표시될 수 있습니다. 그러나 충전+보압 해석이 대칭이면 변형 해석이 대칭이 되므로 냉각 효과를 무시합니다.

그리고
는 각각 재료의 기계 및 열 특성을 정의하는 텐서입니다.
는 재료의 온도 종속성을 고려하는 유사 시간 배율이며 다음 방정식으로 정의됩니다. 
는 재료 및 온도 범위에 따라 WLF 방정식이나 아레니우스 방정식으로 특징지어진 시간-온도 시프트 계수입니다.
이 Autodesk Moldflow 재료 데이터베이스에 저장된 재료의 계수 및 푸아송 비에 따라 정의되고 열 속성 텐서
를 정의하는 데 사용된 열 팽창 계수는 재료에 대한 pvT 데이터에서 얻습니다.
입니다.
은 두께 전체에서 일정합니다.
< 0인 한 재료가 금형 벽에 부착됩니다. 이 모델은 수축 특성화를 수행했는지 여부에 관계없이 Autodesk Moldflow 재료 데이터베이스의 모든 재료에 사용할 수 있습니다. 섬유 충전 재료의 경우 모델을 사용하려면 공정 설정 마법사-충전+보압 설정 대화상자에서 섬유 재료인 경우 섬유 배향 해석을 수행하는 옵션을 선택해야 합니다.
이 모델은 수축 추세를 예측할 수 있지만 절대값과 관련하여 본질적인 오류가 있을 수 있습니다. 이 모델은 변형을 줄이기 위한 설계에 유용하지만 수축 데이터를 사용할 수 있을 때보다 절대값이 덜 정확합니다. 충전되지 않은 재료의 경우 유동 해석 소프트웨어에서 분자 배향 또는 결정화도의 효과를 계산하는 기능이 없으므로 모델이 등방성입니다.
재료가 Autodesk Moldflow에서 수축 특성화된 경우 측정된 수축 결과를 고려하여 열점탄성 모델을 현저하게 향상시킬 수 있습니다. 이 작업은 측정된 수축과 예측된 수축 사이의 차이를 줄이기 위해 측정된 수축 데이터와 관련된 하이브리드 모델의 독립 변수 중 하나로 이론 모델을 사용하여 수행합니다. 결과 모델을 수정된 잔류 인-몰드 응력(CRIMS: Corrected Residual In-Mold Stress) 모델이라고 합니다.
이 아이디어는 아래 그림과 같이 표시됩니다.

수정된 잔류 인-몰드 응력(CRIMS: Corrected Residual In-Mold Stress) 모델
. (a) 예측된 등방성 잔류 응력
, (b) 오류 수정, (c) 수정된 이방성 잔류 응력
그리고
, (d) 측정된 수축.
이 효과를 설명하려면 다음 그래프를 참조하십시오.

폴리프로필렌의 평행 수축
. (a) 수축 %, (b) 성형 조건 세트 번호,
측정된 평행,
수정된 평행,
계산된 중요(등방성).
다음 그래프는 폴리프로필렌의 유동 방향에 대해 평행으로 측정된 실험 수축을 보여줍니다. 또한 열점탄성 모델을 사용하여 이론적으로 계산된 평행 수축 값 및 수정된 평행 수축 값도 보여줍니다. 수정된 값이 측정된 값과 정확히 일치하는 것을 확인할 수 있습니다. 아래 표시된 대로 동일한 폴리프로필렌의 수직 방향도 유사하게 개선된 것을 확인할 수 있습니다.

폴리프로필렌의 수직 수축
. (a) 수축 %, (b) 성형 조건 세트 번호,
측정된 수직,
수정된 수직,
계산된 중요(등방성).
수정 개념은 섬유 충전 재료에도 적용할 수 있으며 뛰어난 결과를 제공합니다. 다음은 중량이 유리섬유 보강재의 15%인 PA66에 대한 몇 가지 결과입니다.

PA66 15% GF의 평행 수축
. (a) 수축 %, (b) 성형 조건 세트 번호,
측정된 평행,
수정된 평행,
이론적 평행.

PA66 15% GF의 수직 수축
. (a) 수축 %, (b) 성형 조건 세트 번호,
측정된 수직,
이론적 수직,
수정된 수직
단일 변량 해석은 Autodesk Moldflow 변형 해석 제품에서 변형의 주요 원인을 분리하기 위해 제공되는 기술로, 대상 측정을 사용하여 제품 변형을 줄일 수 있도록 합니다. 이 기술은 단일 변량 해석 항목에서 자세히 설명합니다. 여기서는 단일 변량 해석 컨텍스트에서 잔류 응력 방법이 적용되는 방식을 살펴봅니다.
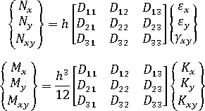
충전 및 보압 단계의 충전+보압 해석은 잔류 응력 계산에서 입력으로 사용되는 다음과 같은 정보를 출력합니다.
) 및 벤딩 모멘트(
) 단일 변량 해석은 변형의 원인이 다음 세 범주에 해당한다는 개념을 기반으로 합니다.
이 개념은 응력이 아닌 수축과 관련이 있습니다. 따라서 잔류 응력 모델을 사용할 때 위의 세 가지 효과 측면에서 변형의 원인을 분리하려면 지정된 일반화된 힘에서 일반화된 변형을 계산한 다음 냉각 효과, 수축 효과 및 배향 효과로 인해 변형을 성분으로 해석하고 마지막으로 수정된 변형을 해당 일반화된 힘으로 다시 변환해야 합니다. 그런 다음 별도의 응력 해석을 수행하여 각 효과에 대한 변형 결과를 얻습니다. 계산과 관련된 방정식은 아래에 요약되어 있습니다.


또는 훅의 법칙은 강성 매트릭스 측면에서 다음과 같이 기록할 수 있습니다.

그리고

재료 배향 각도
이(가) 지정된 경우 컴플라이언스 매트릭스 및 강성 매트릭스를 배향된 시스템에서 지역 요소 시스템으로 변환합니다.
일반화된 변형이 다음과 같이 지정됨

여기서
는 및
는 각각 변형 및 곡률 벡터입니다.

변형의 효과를 분리하기 위해
및
를 해석된 성분으로 바꾼 다음 멤브레인 힘과 벤딩 모멘트를 다시 계산하고 구조 해석에서 새 값을 사용합니다.