냉각수의 점도, 유량 및 레이놀즈 수는 서로 관련이 있습니다.
냉각수 점도 모델은 다음 방정식으로 지정됩니다. 
여기서,
: 점도(Pa.sec.)
: 냉각수 온도(K)
: 데이터 적합 계수(Pa.sec)
및
: 데이터 피팅 계수(K)
: 273.15K와 동등 유량과 점도 간의 관계는 파이프를 통하는 비압축 점성 유동의 이론에서 도출되며 Darcy-Weisbach 공식으로 시작할 수 있습니다.
여기서,
: 헤드 손실로
와 동등하며,파이프의 압력 강하를 유체 밀도와 중력 상수의 곱으로 나눈 값
: 마찰 계수
: 파이프 길이
: 파이프 지름
: 평균 유속으로
와 동등하며,유량을 파이프의 단면적으로 나눈 값 위와 같이
및
에 대해 치환할 경우: 
위 방정식에서 마찰 계수
는 레이놀즈 수
와 관련이 있으며, 레이놀즈 수가 작은 경우 다음과 같습니다.
:
더 높은 범위에서는 레이놀즈 수가
에 의해 지정되고 마찰 계수는 
입니다(여기서
).
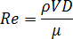
레이놀즈 수는 점도
와 관련이 있으며 다음 방정식으로 지정됩니다. 