리액티브 재료에 대한 Herschel-Bulkley-WLF 점도 모델의 수정 모델인 언더필 점도 모델은 특별히 언더필 인캡슐레이션에 사용됩니다.
언더필 점도 모델에는 추가 항
(두께)가 아래와 같이 포함되어 있습니다. 
여기에서 각 항목은 다음과 같습니다.
: 점도(Pa. sec)
: 캐비티 두께(m)
: 기준 두께(
)에서의 점도및
및
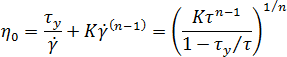
: 데이터 피팅 계수 기준 두께에서의 점도는 다음 방정식을 통해 얻을 수 있습니다. 
여기에서 각 항목은 다음과 같습니다.
: 점도(Pa s)
: 전단율(1/s)
: 온도(K)
: 경화도(0–1), 그리고
,
,
,
,
,
,
,
및
(겔화 변환): 데이터 피팅 계수.