프리폼 다공률 및 투과율 모델

섬유 매트의 다공률과 투과율 모두 리액티브 성형 해석의 충전 패턴에 영향을 미칩니다.

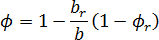
프리폼의 다공률은 다음과 같은 방정식으로 묘사됩니다.

여기에서,

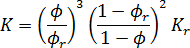
프리폼의 투과율은 다음과 같은 방정식으로 묘사됩니다.

여기에서, 가 투과율입니다.