빔 요소에 해당하는 단면 형상

계산을 단순화하기 위해 원형이 아닌 단면 형상을 가진 빔 요소를 동일한 원형 빔으로 변환할 수 있습니다.

원래 형상의 열전달도 고려해야 합니다. 동일한 단면 영역이 있는 원형 빔의 둘레에 대한 실제 단면 형상의 외부 둘레 비를 나타내는 형상 계수는 변환된 빔에 있어야 하는 추가 표면 영역을 조정합니다.

빔 요소에 지원되는 단면 형상

다음 표에는 사용 가능한 단면 형상과 해당 형상을 정의하는 데 필요한 치수가 나열되어 있습니다.

형상 필요한 치수
원형 지름(2r)
환상형 외부 지름(do), 내부 지름(di)
반원형 지름(2r), 높이(t)
직사각형 너비(a), 높이(b)
사다리꼴 상단 너비(b), 하단 너비(a), 높이(h)
U자형(둥근 사다리꼴), H=d 너비(W), 높이(H)
U자형(둥근 사다리꼴), H > d 너비(W), 높이(H), 지름(d)
타원 긴 반지름(a), 짧은 반지름(b)
기타 동등 지름, 형상 계수
주의: U자형 빔의 경우 높이가 너비보다 크지 않아야 합니다. 너비보다 큰 높이 값을 입력하면 소프트웨어에서 H = W를 설정합니다.

원형이 아닌 빔 단면 형상에 대한 동등 지름 및 형상 계수

다음 표에서는 원형이 아닌 빔 단면 형상을 정의하는 데 필요한 치수를 보여주고 각 빔 형상에 대한 동등 지름 및 형상 계수를 정의하는 계산을 제공합니다.

주: 원형 및 환상형 빔 형상은 해석에서 명시적으로 해석됩니다. 원형 또는 환상형 빔 형상에 대한 동등 지름 또는 형상 계수는 계산할 필요가 없습니다.
 형상 단면 지오메트리 동등 단면 영역에 기반한 동등 지름 형상 계수
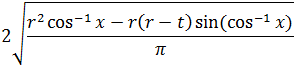
반원형

직사각형
직사각형
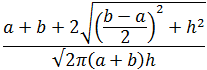
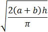
사다리꼴
U자형(또는 둥근 사다리꼴), H=d
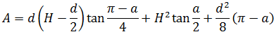
U자형(또는 둥근 사다리꼴), H > d

여기에서 각 항목은 다음과 같습니다.

여기에서 각 항목은 다음과 같습니다.

타원형
주의: 위에 표시된 공식에서 각도 측정은 도가 아닌 라디안으로 지정해야 합니다.
주의: U자형 빔의 경우 높이가 너비보다 크지 않아야 합니다. 너비보다 큰 높이 값을 입력하면 소프트웨어에서 H = W를 설정합니다.

작업 예

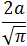
직사각형 형상 러너는 단면 너비(a)가 5mm이고 높이(b)가 3mm입니다.

위의 공식을 사용하여 이 러너는 지름이

즉 4.37mm인 원형 빔 요소로 모델링할 수 있습니다.

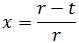
러너에는

즉 1.16의 형상 계수가 필요합니다.

이 빔 요소를 모델링하려면 편집(지오메트리 탭 > 속성 패널 > 편집)을 선택하십시오. 단면 상자에서 기타 형상을 선택하십시오. 치수 편집을 클릭하고 나타나는 단면 치수 대화상자에 동등 지름(4.37) 및 형상 계수(1.16)의 계산된 값을 입력하십시오.