금형 충전 중 3차원 섬유 배향의 수치 예측은 유체 현탁액의 단단한 입자에 대한 운동 방정식을 기반으로 합니다.
해석은 다음과 같은 두 가지 식별 가능한 항으로 구성됩니다.
입자 운동에 대한 유체 역학 영향은 무한 면비를 가정하는 Jeffery 방정식으로 설명됩니다. 이 이론은 희석된 현탁액에만 적용되지만 실험 데이터와 유용한 정성 일치를 제공하는 것으로 확인되었습니다.
상호작용 항은 Folgar와 Tucker가 제안한 것으로, 섬유 간 기계적 상호작용의 임의 추출 효과를 모델링하도록 통합되었습니다. 이 항은 상호작용의 빈도가 변형률의 크기에 비례하는 확산 항 형식입니다. 상호작용 항의 효과는 Jeffery 모델에서 일부 유동 조건에 대해 예측한 고도로 정렬된 배향 상태를 줄여 실험 관찰과의 일치를 개선하는 것입니다.
3차원 섬유 배향 계산은 동일한 유한 요소 메쉬에서 금형 충전 해석과 동시에 수행됩니다. 각 삼각형 요소는 지역 성형 두께를 세분화하는 여러 레이어로 구성된 것으로 간주될 수 있습니다. 각 레이어는 해당 레이어가 통과하는 그리드 점으로 식별됩니다. 성형의 미드플레인은 그리드 점 1을 통과합니다. 배향 솔루션은 각 레이어에서 메쉬의 각 요소에 대해 계산됩니다. 이런 식으로 성형의 단면을 통해 금형 면에 평행인 일련의 평면에서 배향 분포의 변동을 관찰할 수 있습니다.
각 요소에 대한 3차원 배향 솔루션은 2차 텐서로 설명됩니다. 그래픽 표현을 위해 배향 텐서의 고유 값과 고유 벡터가 생성됩니다. 고유 벡터는 섬유 정렬의 기본 방향을 나타내고 고유 값은 해당 방향을 기준으로 정렬된 섬유의 통계 비율(0 ~ 1)을 제공합니다. 이 정보는 각 요소에 대한 섬유의 정렬 분포를 완전히 설명하는 배향 타원체를 정의하는 데 사용됩니다. 일반적인 배향 타원체는 아래 그림에 표시되어 있습니다.

표시를 위해 이 3D 타원체는 각 요소의 평면에 투영되어 평면 타원을 생성합니다. 이 타원은 배향 분포의 유용한 표현을 만드는데, 투영으로 제거된 간극 수준 배향 성분이 일반적으로 작기 때문입니다. 이 표현에서 근거리 임의 분포는 원에 가까운 타원으로 표시되지만 고도로 정렬된 분포의 경우 타원이 선으로 감소됩니다.
2차 배향 텐서
는 사출 성형의 섬유 배향을 효율적으로 설명합니다. 텐서에는 9개의 성분이 있으며 텐서 항에 대한 접미사가 다음과 같습니다.
일반적으로 다음과 같은 축이 적용됩니다.
원래의 9개 성분이 다음과 같은 이유로 인해 5개의 독립 성분으로 줄어듭니다.
및
다음 세 가지 주요 배향 성분이 배향 고려사항에 포함되었습니다.
, 유동 방향의 섬유 배향, 0에서 1.0까지 다양
, 유동에 횡적인 섬유 배향, 0에서 1.0까지 다양
, 1-3 평면에서 배향의 기울기, -0.5에서 0.5까지 다양 참고: 유동 배향 항목,
에는 미세 구조에 대한 대부분의 정량 정보가 포함되어 있으며 유동, 공정 및 재료 변경 사항에 가장 민감합니다.
관심 있는 컴포지트 재료는 점도 매체 내에 떠 있는 입자 또는 섬유로 간주될 수 있습니다. 섬유 간에 기계적 및/또는 유체 역학 상호작용이 있을 수 있습니다.
현탁액은 아래에 설명된 대로 희석되거나, 반농축되거나, 농축될 수 있습니다.
희석된 현탁액은 섬유가 서로 가깝지 않고 상호작용하지 않는 현탁액입니다.
반농축된 현탁액은 섬유 간에 기계적 접촉이 없지만 유체 역학 상호작용이 중요해집니다.
농축된 현탁액에서는 기계적 상호작용과 유체 역학 섬유 상호작용이 적용되기 때문에 섬유 배향 동작이 매우 복잡해집니다.
Jeffery는 압축 불가 뉴톤 유체의 큰 바디에 잠긴 단일 섬유의 운동을 먼저 모델링했습니다. Jeffery 모델은 너무 희석되어 섬유 간 상호작용(유체 역할 상호작용도 포함)을 무시할 수 있는 현탁액에만 적용됩니다.
현탁액 농도를 평가하는 중요한 기준은 섬유 간 평균 거리입니다.
지름(d), 길이(L), 면비(L/d), 체적(또는 체적 분율)별 섬유 농도(c) 의 섬유를 고려하고 길이 분포가 균등하다고 가정할 경우 일반적인 농도 분류 크기는 다음과 같습니다.
예를 들어 L/d가 10(컴포지트에서 섬유를 강화하는 작은 값)인 경우 섬유 농도는 Jeffery 방정식에서 적용할 체적에 따라 1%보다 훨씬 더 작아야 합니다.
상용 재료의 경우 섬유 면비 L/d가 20 이상인 경우가 자주 있으므로 위의 농도에 대한 값이 다음과 같아집니다.
일반적으로 이러한 분류 크기 구분은 중량별로 약 0.5% 및 10%로 변환됩니다.
대부분의 상용 컴포지트에는 중량별로 10 ~ 50%의 섬유가 포함되어 있어 농축된 현탁액으로 간주할 수 있습니다.
반농축된 현탁액의 경우 Dinh 및 Armstrong이 모델을 제한했습니다. 섬유의 배향은 입자가 늘어날 수 없다는 점을 제외하고 유동의 벌크 변형을 따릅니다.
농축된 현탁액에서는 "상호작용 계수"(또는
)라는 항이 Folgar 및 Tucker가 제안한 섬유 배향에 대한 현상학적 모델에 통합되었습니다.
항은 확산 항의 강도를 결정합니다. Jeffery 방정식만으로는 섬유 배향에 대해 질적으로 정확한 예측을 제공하지 못하므로 섬유 상호작용을 고려하는 회전 확산 항을 추가하여 배향 예측을 개선했습니다.
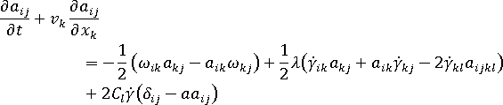
지금까지는 Folgar-Tucker 모델이 농축된 현탁액에서 섬유 배향 모델링에 사용할 수 있는 가장 적합한 방법이었습니다. 이 모델은 Advani 및 Tucker에 의해 다음과 같은 형식으로 제공되었습니다.

여기서:
는 3D의 경우 3이고 2D(평면) 배향의 경우 2입니다.
는 속도 성분입니다.
는 와도 텐서이고
는 변형률 텐서입니다.
는 입자의 지오메트리에 따라 달라지는 상수입니다.
는 단위 텐서입니다.
는 상호작용 계수입니다. Advani 및 Tucker의 텐서 형식 섬유 배향 모델은 4차 텐서
을 포함하므로 2차 배향 텐서에 적합한 파생물이 아닙니다..
4차 텐서에 대한 파생물에는 6차 배향 텐서 등이 포함되어 있습니다. 유일하게 적합한 파생물을 개발하는 방법은 2차 텐서 측면에서 4차 텐서의 근사치를 구하는 것입니다.
이러한 근사치를 "클로저 근사치"라고 합니다. Advani 및 Tucker는 다양한 근사치를 테스트했습니다. 그러나 근사치 자체만으로는 시뮬레이션 결과에서 몇 가지 오류가 발생할 수 있습니다. 따라서 클로저 근사치는 이 모델과 관련하여 가장 어려운 문제입니다.
값이 없으면 섬유 배향 모델 표현식을 모든 배향 모델 성분에 맞출 수 있습니다.
Advani 및 Tucker 섬유 배향 모델 형식에 대한 조사는 섬유 배향 예측 정확도를 제어하는 두 가지 방법을 나타냅니다.
보다 정확한 클로저 찾기
클로저 오류를 고려하는 새 상호작용 모델 찾기
첫 번째 방법이 추천되지만 수십 년 범위의
에 대해 전단 및 신장 유동 범위를 만족스럽게 포함하는 클로저가 없는 것으로 확인되었습니다 .
클로저 근사치의 효과는 너무 많은 평면 이탈 배향을 예측하는 것입니다. 이 결과는 Autodesk에서 제안한 섬유 배향 모델 형식으로 해결되었습니다.