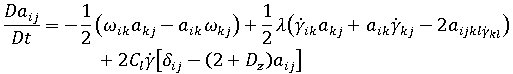
Moldflow의 섬유 배향 모델은 Folgar-Tucker 배향 방정식을 기반으로 합니다.

는 섬유 배향 텐서입니다.
는 와동 텐서이고
는 변형률 텐서입니다.
는 섬유 상호작용 계수, 스칼라 현상학적 변수, 실험 결과에 따라 결정되는 값입니다. 이 항은 원래 Jeffery 형식에 추가되어 섬유 간 상호작용을 고려합니다.
)이 모델에 도입되었습니다. 
이 수정된 모델에는 다음 가정 및 고려사항이 적용됩니다.
Folgar-Tucker 모델은 농축된 현탁액에서 섬유 배향 예측에 만족스러운 정밀도를 제공합니다.
하이브리드 클로저가 사용되는데, 형식이 간단하고 적절한 동적 동작을 수행하기 때문입니다.
다음 사항에 유의하십시오.
= 0.0은 모델을 Jeffery 형식으로 다시 설정합니다.
는 배향 텐서에 영향을 줍니다.
=0이면 섬유가 서로 상호작용하지 않고, 값이 매우 커지면 섬유가 덜 정렬됩니다.
항의 크기는 섬유 상호작용으로 인해 평면 이탈 방향에서 임의 추출 효과의 중요성을 설정합니다.
= 1.0은 3D 문제에 대한 Folgar-Tucker 배향 모델을 제공합니다. 설정
= 0.0은 2D 문제에 대한 Folgar-Tucker 배향 모델을 제공합니다. 그러나 사출 성형 상황에서는 유동 유체 역학으로 인해 섬유가 주로 유동 평면에 놓이게 됩니다. 평면 이탈 회전 기능이 심각하게 제한됩니다. 이 메커니즘은 섬유 배향의 임의 추출 효과가 평변 방향보다 평면 이탈 방향에서 훨씬 더 작으므로 작은
값을 예측합니다.
변수를 줄이면 다음과 같이 됩니다.
및 크기 조정된 체적 분율 표현식Bay의 실험에서는 Folgar 및 Tucker의 상호작용 모델이 사출 성형 문제에 적용된다고 합니다. 그러나 섬유 배향 모델링에서 적용할
값을 어떻게 알 수 있습니까?
Folgar 및 Tucker의 실험에 의하면
가 섬유 체적 분율 및 면비에 따라 달라지지만 종속성의 형식이 명확하지 않습니다.
필름 게이트 스트립의 유동은 주로 간단한 전단입니다. 쉘 레이어(미드플레인에서 벽의 40-90% 포함)는 간단한 전단에 안정된 상태의 값을 사용해야 합니다. 이 상황은 이런 종속성을 조사하는 준비된 방법을 제공합니다.
Bay의 쉘 레이어 배향 결과에서는 배향
이 섬유 농도에 매우 민감하여 상호작용 계수에 대한 실험적 관계를 발전시킬 수 있다고 제안합니다. 또한 Bay의 측정값은 변형률에 비례한 비율로 섬유를 확산시켜야 한다는 제안을 지지합니다.
Bay의 논문에는 일부 섬유 세부사항에서 상호작용 계수
의 종속성에 실험적 관계를 제공하는 표현식이 있습니다. 표현식은 단순 지수
항입니다. 이 데이터는 각 재료에 대한 6-7 유리 레벨에서 다양한 재료(PC, PBT, PA66)의 사출 성형된 스트립에 대한 쉘 레이어에서 생성됩니다. 사례는 모두 농축된 현탁액으로 간주될 수 있습니다.
표현식쉘 레이어 배향 결과에 따라 유리 함량 범위 전체에서 Bay 표현식의 기본값 적용 가능성이 검토되었습니다.
= 1.0 조건(Folgar-Tucker 모델 형식)에서
배향은 두 재료의 모든 유리 함량에 대해 과도하게 예측됩니다. 유리 함량이 증가하면 과도 예측 레벨이 감소합니다. 아래 그림을 참조하십시오.
일련의 섬유 충전+보압 해석 검증 절차가 끝 게이트 스트립과 중앙 게이트 디스크를 모두 사용하여 수행되었습니다. 다른 유리 레벨에서 두 재료(PA66 및 PBT)에 대한 스트립의 쉘 레이어
배향에 대한 보다 자세한 고려사항을 검토하고 결과를 Bay의 실험적 배향 데이터와 비교했습니다. 배향 레벨은 일반적으로 0.8이었습니다.
에 대한 수정된 실험적 표현식 대 크기 조정된 체적 분율 cL / d(조건:
= 0.01 및 1.0)가 보압 단계 결과를 사용하여 파생되었습니다.
중간
값에는 보다 복잡한 절차가 적용됩니다.
아래 그림에서는 이러한 사례에 대해 다양한 유리 레벨의 두 재료에 대한 쉘 레이어
배향 예측의 오류를 보여줍니다.
= 0(Jeffery 모델)입니다.
에 대한 Bay 실험적 표현식으로
= 1.0(Folgar-Tucker 모델)을 사용합니다.
모델(낮은
값 사용)(예:
= 0.01을 기본값으로 사용)이 아래 그래프에 표시되어 있습니다. 
수정된
모델(낮은
값 사용)
(a) 오류, (b) 유리 %(중량),
= 0.0(Jeffery 모델),
Bay
(
=1.0),
Moldflow 모델(
= 0.01)
모델(
= 1.0 사용)이 사용됩니다.
값은 제품 두께와 함께 단순 증가하는 것으로 표시되었습니다. 이러한 증가 추세는 평면 이탈 섬유 배향이 제품 두께 증가와 함께 증가한다는 예상과 일치합니다. 다음과 같은 관찰이 가능합니다.
모델 사례는 얇은 제품(두께 < 2.5mm)의 오류 레벨을 현저하게 줄입니다.
값을 사용하는 기본 Bay 모델은 높은 유리 레벨을 제외한 모든 레벨에 대해 Bay 실험적 데이터의 신뢰도 범위 내에 있는 배향 예상값을 제공합니다.
−
조합에 대한 요약상호작용 계수
에 유효한 데이터 범위는 0-1.0이지만, 0.1보다 큰 값을 사용할 경우 실험적 결과에 비해 예측이 개선되지 않음을 알 수 있습니다.
상호작용 계수
의 두께 모멘트에 유효한 데이터 범위는 0.0001-1.0입니다.
이 소프트웨어 릴리스에서 허용되는 상호작용 계수와 두께 모멘트 조합은 다음 표에 요약되어 있습니다.
상호작용 계수, |
상호작용 계수의 두께 모멘트, |
주석 |
|---|---|---|
| 0 | 0.0001–1.0 |
|
0 < <= 0.1 |
1.0 | Folgar-Tucker 모델 |
| 기본값 | <= 1.0(기본값 = 1.0) |
는 크기 조정된 체적 분율(cL / d)에 따라 실험적 표현식에서 파생됨(기계적 속성의 항 및 사용)
< 0.01인 경우 민감하지 않음 |
| 사용자 설정 (0–0.1) |
<= 1.0 (기본값 = 1.0) |
기타 구현이 허용됨 |
성형 공정 중 한 점에서의 섬유 배향은 유동 추론 배향(운동항) 및 유동 대류 배향(대류항)이라는 두 가지 다른 방식으로 유체 모션에 의해 제어됩니다.
운동항의 경우 예측 정확도가 계산된 속도 구배의 정확도에 따라 달라집니다.
대류항의 경우 정확도가 배향 구배의 계산에 따라 달라집니다. 속도와 마찬가지로 배향 텐서의 표현도 좌표 시스템에 따라 달라집니다. 속도 구배의 계산에 적합한 모든 수치 구조를 사용하여 배향 구배를 계산할 수 있습니다. 섬유 배향 소프트웨어에서는 동일한 요소 시스템을 사용하여 속도 및 배향 필드를 나타낸 다음 동일한 구조를 사용하여 속도 및 배향 구배를 계산합니다.
이제 전체 섬유 배향 구조의 개요를 설명합니다. 섬유 배향 예측은 금형 충전 시뮬레이션과 연결됩니다.
먼저 알고리즘이 충전 및 섬유 배향 계산을 위해 초기화됩니다.
그런 다음 모든 요소가 고화될 때까지 해석에 대해 다음 루프가 반복됩니다.
를 결정합니다.
를 계산합니다.
까지 반복합니다.
까지 계산합니다.
을 계산합니다.
중 새 섬유 배향을 계산합니다.