일부 플라스틱 제품에는 규칙적인 단면이 없습니다. 즉, 양쪽이 모두 납작합니다. 그릴과 같이 복잡한 형상을 해석하려면 매우 정교한 메쉬를 사용하여 제품의 정확한 형상을 정확하게 모델링해야 합니다. 이 작업은 계산 오버헤드가 높아 시간이 오래 걸립니다.
미드플레인 해석 기술에서는 재료 체적이 동일한 더 얇고 납작한 단면으로 영역을 표현하여 이렇게 복잡한 단면을 근사화할 수 있습니다.
미드플레인 메쉬는 제품의 모서리를 고려하지 않습니다. 형상 계수는 금형과 접촉되는 추가 표면 영역을 고려합니다. 표면 패턴에 대한 형상 계수는 동등한 표면의 비율에 대한 실제 접촉 면의 비율로 정의됩니다.
두께 및 형상 계수는 미드플레인 삼각형 요소의 속성이며, 빔 요소에 사용되는 지름 및 형상 계수와 유사합니다. 표면에 규칙적인 단면이 있으면 두께가 지정되고 형상 계수는 1이 됩니다. 그러나 표면 패턴은 모양 및 기능상의 이유로 플라스틱 제품 설계에서 자주 사용됩니다. 제품을 표면 패턴으로 모델링하는 방법은 두 가지가 있습니다. 표면 패턴에서 피처보다 작은 요소를 사용하거나 동등 두께 및 형상 계수를 사용하는 요소를 사용하여 표면 패턴에서 추가 냉각 및 유동 저항을 수정합니다. 첫 번째 방법을 사용하면 패턴에서 작은 피처를 사용하는 요소가 제품에 너무 많이 생성될 수 있습니다. 두 번째 방법은 실질적인 문제를 해결하는 보다 효율적인 방법입니다.
다음 다이어그램에서는 슬래브 같은 표면을 보여줍니다. 동등 두께 및 형상 계수가 패턴의 한 가지 기본 유닛으로 계산되어 반복됩니다.
패턴의 기본 유닛에는 투영 영역
, 접촉 면
(상단, 하단 및 측면 포함), 상단 및 하단 표면 사이의 체적
가 있습니다. 동등 두께가 동일한 경우 더 큰 형상 계수를 사용하면 지정된 체적에 더 많은 접촉 면이 생기고 벽으로 인해 냉각 효과가 더 많아질 뿐만 아니라 지오메트리 불규칙성으로 인해 유동 저항도 더 많아진다는 의미입니다. 프로그램은 각 형상 계수에 따라 미드플레인 요소의 이러한 두 가지 효과를 자동으로 조정합니다.

그릴 및 메쉬 크기의 상대적 치수에 따라 그릴로 지오메트리를 모델링하는 두 가지 방법이 있습니다. 다음 다이어그램의 (a) 부분에 표시된 대로 그릴 세그먼트의 길이가 메쉬 크기보다 크면 그릴은 적절한 동등 지름 및 형상 계수를 사용하는 빔 요소로 모델링되어야 합니다. 그릴 크기가 메쉬 크기에 비해 작으면 총 그리드 영역은 다음 다이어그램의 (b) 부분에 표시된 대로 동등 두께 및 형상 계수를 사용하는 삼각형 요소로 모델링되어야 합니다.

(c) 단면 A-A, (m) 메쉬 크기, (r) 빔(러너) 요소

(c) 단면 A-A, (m) 메쉬 크기, (u) 기본 유닛
3mm 두께의 제품에서 2mm의 구멍 크기(
) 및 1.5mm의 구멍 간 거리(
)를 사용하여 그릴을 모델링하려면 먼저 계산의 기초로 그릴을 나타내는 영역을 확인합니다. 위 다이어그램에서는 영역
입니다.
투영 영역(A)은
의 영역입니다.
또는
= 12.25입니다.
접촉 면(S)은 [2 x 투영 영역(상단 및 하단 표면)] - [2 x 구명 영역] + [구멍의 원주 x 구멍 깊이(b)]입니다. 이렇게 하면
로 줄어듭니다. 값을 대입하면
= 37.07을 얻을 수 있습니다.
체적(V)은 [투영 영역의 체적] - [구멍의 체적]입니다. 이 값은
이거나
= 27.33입니다.
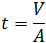
동등 두께(t)는
또는 27.33/12.25 = 2.23mm입니다.
형상 계수는 [접촉 면 영역(S)]/[2 x 투영 영역(A)] 또는 1.51입니다.
미드플레인 메쉬 모델에서 그릴 영역을 선택하십시오. 마우스 오른쪽 버튼을 클릭하고 속성(또는
클릭)을 선택하십시오. 단면 상자에서 기타 형상을 선택하십시오. 치수 편집을 클릭하고 나타나는 단면 치수 대화상자에 동등 두께(2.23) 및 형상 계수(1.51)의 계산값을 입력하십시오.