유형 드롭다운에서 직교 이방성 3D를 선택하면 일반, 강성, 전단, 푸와송 비, 열팽창, 허용값 및 열 재질 섹션을 사용할 수 있습니다.
재질 안정성에는 다음이 필요합니다.
두 조건이 충족되지 않으면 경고 메시지가 발생합니다.
9개의 직교 이방성 상수를 모두 찾는 것은 어려울 수 있습니다. 일부 실제 문제에서 재질 특성은 재질이 평면(예: 평면 1-2)에서 등방성이고 이 평면에 수직인 방향에서 다른 특성을 가지는 수직 이방성으로 감소될 수 있습니다. 등방성의 평면에서 특성이 다음으로 감소됩니다.
및
가 함께 사용됩니다.
수직 이방성(예: ,
,
,
,
및
)의 경우 5개의 독립적 재질 상수가 있습니다. 재질에 평면 이방성이 있는 경우 재질이 평면에서만 직교 이방성이며 탄성 상수는 7로 감소합니다(예:
,
,
,
,
,
,
).
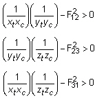
이 이론을 사용하는 것이 복잡해집니다. 이러한 이유로 F12, F23, F31을 0으로 설정하는 것이 좋습니다.
열 해석의 경우 사용자가 열 섹션에서 전도율 매트릭스, 비열 및 질량 밀도에 대한 값을 입력할 수 있습니다. 질량 밀도는 구조 해석뿐만 아니라 열 해석에서 요구할 수 있기 때문에 반복됩니다.