Użyj równań utworzonych przez użytkownika, aby dokładnie określić sposób obliczenia spłaszczenia stref zagięcia w zawiniętych modelach części konstrukcji blachowej.
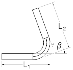
Części konstrukcji blachowej są definiowane wg ich formy zwiniętej lub funkcjonalnej, ale wytwarzane są z płaskiego arkusza. Zagięcia rozwinięte w celu ukształtowania rozwinięcia blachy powodują odkształcenie materiału w strefie zagięcia. Stopień odkształcenia zależy od wielu zmiennych. Przekształcanie materiału zwiniętego do formy płaskiej wymaga uwzględnienia deformacji za pomocą trzech metod:
- Przybliżenie liniowe z użyciem zdefiniowanego współczynnika K
- Zmierzone wartości zarejestrowane w tabeli gięcia dla określonych materiałów, kątów zagięcia i typów obróbki
- Równania niestandardowe zapewniające jednolite odkształcenie w zakresie określonych ograniczających warunków kątowych
Równania utworzone przez użytkownika są określone w nazwanej regule rozwijania określonej za pomocą okna dialogowego Edytor stylów i standardów.
Typ Kompensacja zagięcia
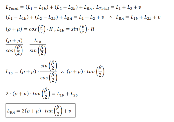
Równanie kompensacji zagięcia umożliwia określenie całkowitej rozwiniętej długości:
Rozszerzenie początkowego równania, aby zawrzeć w nim obliczenie naddatku na zagięcie powoduje:
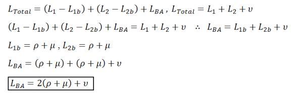
W przypadkach kątowych, w których
, stosowane jest następujące równanie:
Rozszerzenie początkowego równania, aby zawrzeć w nim obliczenie naddatku na zagięcie powoduje:
Po wyznaczeniu naddatku na zagięcie współczynnik K można wyprowadzić, korzystając z równania:
Typ Odliczenie na zagięcie
Równanie odliczenia na zagięcie umożliwia określenie całkowitej rozwiniętej długości:
Równanie odliczenia na zagięcie zapewnia metodę obliczania, która jest dokładnym przeciwieństwem metody kompensacji zagięcia.
Dla odliczeń zagięcia program Inventor oblicza naddatek na zagięcie za pomocą poniższych równań.
Dla przypadków kątowych:
W przypadkach kątowych, w których
, zastosowanym równaniem jest:
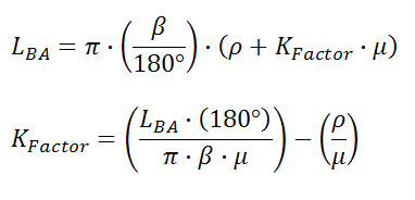
Typ Naddatek na zagięcie
Określone równanie jest dostarczone, aby bezpośrednio obliczyć naddatek na zagięcie. WspółczynnikK można wyprowadzić za pomocą poniższego równania:
Typ WspółczynnikaK
Określenie całkowitej rozwiniętej długości za pomocą metody WspółczynnikaK wymaga użycia równania:
naddatek na zagięcie jest obliczany przy użyciu poniższego równania:
Edycja niestandardowych równań rozwinięcia
Podczas edycji nazwanej reguły rozwijania można określić cztery typy równań utworzonych przez użytkownika.
Typ równania wybranego w oknie dialogowym Edytor stylów i standardów określa zmienną definiującą lewą stronę równania. Klawisze wprowadzania znaków w oknie dialogowym Edycja równania umożliwiają wprowadzenie za pomocą jednego kliknięcia: kąta, promienia, grubości i Pi.
Typ zmiennej jest określony przez Typ równania wybranego w oknie dialogowym Edytor stylów i standardów przed otwarciem okna dialogowego Edytor równania.
- W oknie dialogowym Edytor stylów i standardów, gdy dla opcji Metoda rozwijania wybrana jest wartość Równanie niestandardowe, kliknij dwa razy komórkę Równanie niestandardowe znajdującą się po lewej stronie warunku granicznego, dla którego ma zostać określone równanie utworzone niestandardowe.
- W oknie dialogowym Edycja równania wprowadź równanie określające zmienną znajdującą się poza polem wprowadzenia równania:
. Wprowadza zmienną mierzonego kąta do równania rozwijania utworzonego przez użytkownika.
. Wprowadza zmienną mierzonego wewnętrznego promienia do równania rozwijania utworzonego przez użytkownika.
. Wprowadza zmienną mierzonej grubości do równania rozwijania utworzonego przez użytkownika.
. Wprowadza matematyczną wartość Pi do równania rozwijania utworzonego przez użytkownika.
- W polu wpisywania równania przy użyciu klawiatury można wprowadzić niestandardowe równanie rozwijania.
- (Opcjonalnie) Aby zmienić typ zmiennej, w przypadku której obliczono równanie niestandardowe, kliknij przycisk Anuluj i wybierz prawidłowy typ równania w oknie dialogowym Edytor stylów i standardów.
Edycja warunków granicznych niestandardowego równania rozwijania
Użytkownik może definiować równania rozwijania w przypadku zakresów kątów, promieni lub grubości, określając warunki graniczne w oknie dialogowym Edycja ograniczenia.
- Gdy dla opcji Metoda rozwijania w oknie dialogowym Edytor stylów i standardów wybrano wartość Równanie niestandardowe, kliknij dwukrotnie komórkę Warunek ograniczający dostępną po prawej stronie równania niestandardowego, w przypadku którego zostanie określony warunek graniczny.
- W oknie dialogowym Edycja ograniczenia, w górnym wierszu menu rozwijanego wybierz operatory równania i typ zakresu, aby utworzyć równanie określające zakres wartości kąta, grubości lub promienia.
- W dolnych wierszach oraz w polach po lewej i prawej stronie wprowadź wartości określające granice warunków granicznych.