Podstawowe obliczenia geometryczne w przypadku przekładni stożkowych

Dane wejściowe

Typ przekładni - według położenia podstawy i głowy stożka

Przełożenie i numery zębów

Kąt nacisku (kąt profilu narzędzia)α t

Kąt pochylenia zębów β m

Kąt osi Σ

Moduł czołowy na stożku zewnętrznym met (dla obliczeń metrycznych)

Czołowy podział średnicowy na stożku zewnętrznym Pet (dla jednostek angielskich)

Uwaga: Moduł i podział średnicowy są wartościami odwrotnymi.

Jednostkowa wysokość głowy zęba ha

Luz jednostkowy c *

Zaokrąglenie wysokości stopy zęba r f *

Szerokości wieńca b 1 , b 2

Korekcja jednostkowa x = x 1 = - x 2

Zmiana jednostki grubości zęba x t = x t1 = - x t2

Pomocnicze obliczenia geometryczne

Rozkład korekcji jednostkowych dla pojedynczego koła

Projekt zgodnie z obliczeniami wytrzymałościowe

Projekt szerokości wieńca koła zębatego

Obliczenia maksymalnego zaokrąglenia stóp zębów

Parametry obliczane

 

Normalny kąt nacisku w płaszczyźnie środkowej

 

tg α nm = tg α t cos β m

Kąt pochylenia

 

Zewnętrzna średnica podziałowa

 

d e1,2 = m et z 1,2

Zewnętrzna długość krawędzi powierzchni na stożku podziałowym

 

Długość krawędzi powierzchni na stożku środkowym

 

R m = R e - 0,5 b

Względna szerokość wieńca

 

Moduł czołowy na stożku środkowym

 

Moduł normalny na stożku środkowym

 

m mn = m mt cos β m

Średnia średnica podziałowa

 

d m1,2 = m mt z 1,2

Zastępcza liczba zębów

 

Równoważna średnica podziałowa

 

Równoważna średnica podstawowa

 

d vb1,2 = d v1,2 cos α t

Równoważna średnica zewnętrzna

 

d va1,2 = d v1,2 + 2 h ae1,2 m mt / m et

Równoważna odległość osi

 

a v = 0,5 (d v1 + d v2 )

Wirtualne przełożenie przekładni

 

Wirtualna liczba zębów

 

Wirtualna średnica podziałowa

 

Wirtualna średnica podstawowa

 

d bn1,2 = d n1,2 cos α t

Wirtualna średnica zewnętrzna

 

d an1,2 = d n1,2 + 2 h ae1,2 m mt / m et

Wirtualny kąt pochylenia zęba na walcu podstawowym

 

sin β b = sin β m cos α nm

Wirtualna odległość osi

 

a n = 0,5 (d n1 + d n2 )

Redukcja wysokości podstawy zęba

 

k 1,2 = 0,02 (17 - z n1,2 )

dla k > 0 wykonano skrócenie wysokości podstawy zęba

Wysokość głowy zęba

 

h ae1,2 = m et (h a * + x 1,2 - k 1,2 )

Wysokość podstawy zęba

 

hf e1,2 = m et (h a * + c * - x 1,2 )

Średnica zewnętrzna

 

d ae1,2 = d e1,2 + 2ha e1,2 cos δ 1,2

Średnica podstawy zęba

 

d fe1,2 = d e1,2 - 2 hfe1,2 cos δ 1,2 )

Zewnętrzna średnica koła wierzchołków

 

d ai1,2 = d ae1,2 (1 - φ R )

Odległość wierzchołków

 

A 1,2 = R e cos δ 1,2 - h ae1,2 sin δ 1,2

Zewnętrzny kąt ukosu

 

Kąt stożka dna wrębów

 

Grubość zęba (mierzona zwykle na średnicy podziałowej)

 

Pomiarowa szerokość wieńca (normalna)

 

s ke1,2 = s e1,2 cos 2 α t

Wysokość głowy zęba ponad cięciwą

 

Jednostkowa szerokość głowy zęba (mierzona normalnie)

 

 

gdzie:

 
   

Szerokość robocza przekładni

 

b w = b

Współczynnik czasu trwania zazębienia

 

ε γ = ε α + ε β

Minimalna poprawka bez zwężania

 

 

gdzie:

   

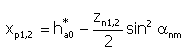
h a0 * = h a * + c * - r f * (1 - sin α t )

Minimalna poprawka bez podcięcia

 

Minimalna poprawka bez podcięcia

 

Kąt pochylenia przy dnie wrębu

 

sinβ e = sinβ m R m /R e

Poprzeczny kąt nacisku przy dnie wrębu

 

tanα ne = tanα t cosβe