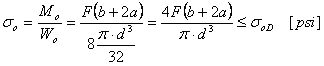
Naprężenie zginające

Nacisk w cięgle
Nacisk w sworzniu
Naprężenie ścinające
Naprężenie ścinające
gdzie:
|
F |
siła [funt] |
|
|
σ 0 |
naprężenie zginające [psia] |
|
|
σ 0D |
dopuszczalne naprężenie zginające [psi] |
|
|
M 0 |
moment zginający [funt stopa]. |
|
|
W 0 |
moduł przekroju zgięcia [cal 3 ] |
|
| τ |
naprężenie ścinające [psi] |
|
|
τ D |
dopuszczalne naprężenie ścinające [psi] |
|
|
d |
średnica sworznia [cal] |
|
|
p 1 |
nacisk w cięgle [psi] |
|
|
p 2 |
nacisk w sworzniu [psi] |
|
|
p 1D |
dopuszczalny nacisk w cięgle [psi] |
|
|
p 2D |
dopuszczalny nacisk w sworzniu [psi] |
|
|
b |
szerokość cięgła [cal] |
|
|
a |
szerokość ramienia sworznia [cal] |