Wał — wzory obliczeń

Tych wzorów używa się do rozwiązania wału (z jednym lub więcej przekrojem) lub belki (z jednym stałym przekrojem) za pomocą wielu podpór i obciążeń.

Oś wału/belki jest dopasowana do osi Z. Jeśli do obliczeń włącza się również wpływ gęstości materiału, wektor grawitacji jest dopasowany do osi Y.

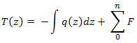
Siły ścinające:

Momenty zginające:

Kąt ugięcia:

gdzie:

 

E

moduł sprężystości w napięciu

 

J

moment bezwładności

 

G

moduł sztywności

  β

współczynnik przemieszczenia ścinającego

Ugięcie:

Naprężenie zginające

Naprężenie ścinające

Naprężenie skręcające

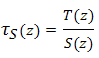
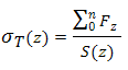
Naprężenie:

Naprężenie zredukowane

gdzie:

  σ B naprężenie zginające
  σ T

naprężenie

  τ naprężenie skręcające
  τ S naprężenie ścinające
  α α = 3 dla HM
    α = 4 dla Tresca-Guest

Przykładowe obliczenia

Moduł sprężystości E = 210 000 MPa

Moduł sztywności G= 81 000 MPa

Współczynnik przemieszczenia ścinającego β=1,118

Tryb naprężenia zredukowanego: HMH

Nie zawiera gęstości materiału.

Siły podparcia:

Maksymalne naprężenie ścinające:

Maksymalne naprężenie skręcające:

Maksymalny moment:

Maksymalne naprężenie zginające:

Maksymalne naprężenie zredukowane:

Kąt skręcenia: