Przenoszony moment obrotowy
gdzie:
|
P |
przenoszona moc [kW] |
|
|
n |
prędkość [min -1 ] |
Nacisk na powierzchnię podporową rowka
1. średnica wewnętrzna wału d h > 0
a)
b) jeżeli d min ≤d h -> d min = 1.1 d h [mm]
c) jeżeli d min ≤ 1.5 d h -> d min = 1.5 d h [mm]
2. średnica wewnętrzna wału d h = 0
gdzie:
|
d min |
minimalna średnica wału [mm] |
|
|
d h |
wewnętrzna średnica wału [mm] |
|
|
T |
moment obrotowy [Nm] |
|
|
K a |
współczynnik zewnętrznych sił dynamicznych |
|
|
K f |
współczynnik żywotności |
|
|
S v |
żądane bezpieczeństwo |
|
|
τ Al |
Dopuszczalne naprężenia ścinające |
Minimalna długość rowkowania do przenoszenia momentu obrotowego
|
1. Połączenie stałe: |
![]() |
|
2. Elastyczne połączenie: |
![]() |
|
gdzie: |
|
T |
moment obrotowy [Nm] |
|
|
K a |
współczynnik zewnętrznych sił dynamicznych |
|
|
K f |
współczynnik trwałości |
|
|
K w |
współczynnik zewnętrznych sił dynamicznych |
|
|
K m |
współczynnik rozłożenia obciążenia |
|
|
S v |
żądane bezpieczeństwo |
|
|
d s |
środkowa średnica = (D + d) / 2 [mm] |
|
|
D |
zewnętrzna średnica przekroju rowka [mm] |
|
|
d |
wewnętrzna średnica przekroju rowka [mm] |
|
|
N |
liczba rowków [-] |
|
|
h |
wysokość rowka = (D - d) / 2 [mm] |
|
|
s |
fazowanie [mm] |
|
|
h st |
connection height h st = h - 2 s [mm] |
|
|
p Dmin |
dopuszczalny nacisk na powierzchnię oporową wału i rowka [MPa] |
Nacisk dopuszczalny
|
1. Połączenie stałe: |
![]() |
|
2. Elastyczne połączenie: |
![]() |
|
gdzie: |
|
T |
moment obrotowy [Nm] |
|
|
K a |
współczynnik zewnętrznych sił dynamicznych |
|
|
K f |
współczynnik trwałości |
|
|
K w |
współczynnik zewnętrznych sił dynamicznych |
|
|
K m |
współczynnik rozłożenia obciążenia |
|
|
S v |
żądane bezpieczeństwo |
|
|
d s |
środkowa średnica = (D + d) / 2 [mm] |
|
|
D |
zewnętrzna średnica przekroju rowka [mm] |
|
|
d |
wewnętrzna średnica przekroju rowka [mm] |
|
|
N |
liczba rowków [-] |
|
|
h |
wysokość rowka = (D - d) / 2 [mm] |
|
|
s |
fazowanie [mm] |
|
|
h st |
connection height h st = h - 2 s [mm] |
|
|
l f |
czynna długość wpustu [mm] |
Kontrola wytrzymałości
p min ≤ p ds
p min ≤ p dh
gdzie:
|
p min |
minimalny obliczony nacisk h/2 [MPa] |
|
|
p ds |
dopuszczalny nacisk w wale [MPa] |
|
|
p dh |
dopuszczalny nacisk w piaście [MPa] |
Obliczenia metryczne zgodnie z CSN 01 4950
Naprężenie zginające
gdzie:
|
s sf |
pomiarowa grubość stopy zęba wałka |
s sf = 2,17m |
|
|
h |
wysokość zęba wału |
h = 1.1m - 0.05 |
centrowane do boków zęba, płaskie dno rowka |
|
h = 1.28m - 0.05 |
centrowane do boków zęba, zaokrąglone dno rowka |
||
|
h = 1,2 m |
centrowane zewnętrznie |
Nacisk na powierzchnię podporową rowka
gdzie:
|
h n |
wysokość rowkowania obciążenia łożyska |
h n = 0,9 m - 0,05 |
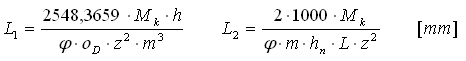
Minimalna długość rowkowania
L min = max {L 1 , L 2 } [mm]
gdzie:
Zalecane wartości: L = (0,8 - 1,6) D
Kontrola rowkowań
p ≤ p d i σ≤σ d
gdzie:
|
P |
przenoszona moc [kW] |
|
|
n |
prędkość [min -1 ] |
|
|
z |
liczba zębów [-] |
|
|
p D |
dopuszczalny nacisk na powierzchnie kontaktowe zębów [MPa] |
|
|
σ D |
dopuszczalne naprężenie zginające [MPa] |
|
|
L |
czynna długość rowkowania [mm] |
|
|
D |
nominalna średnica rowkowania [mm] |
|
| ϕ |
współczynnik kontaktu boków zęba |