Przenoszony moment obrotowy
gdzie:
|
P |
moc [kW] |
|
|
n |
prędkość [rpm] |
Obliczenia minimalnej średnicy wału
1. średnica wewnętrzna wału d h > 0
a)
b) jeżeli d min ≤d h -> d min = 1.1 d h [mm]
c) jeżeli d min ≤ 1.5 d h -> d min = 1.5 d h [mm]
2. średnica wewnętrzna wału d h = 0

gdzie:
|
d min |
minimalna średnica wału [mm] |
|
|
d h |
wewnętrzna średnica wału [mm] |
|
|
T |
moment obrotowy [Nm] |
|
|
K a |
współczynnik zewnętrznych sił dynamicznych |
|
|
K f |
współczynnik żywotności |
|
|
S v |
żądane bezpieczeństwo |
|
|
τ A |
Dopuszczalne naprężenia ścinające |
Obliczenia ogólne
|
|
zakres aktywności siły na wale |
|
h k = h - h s - 2 s [mm] |
zakres aktywności siły na piaście |
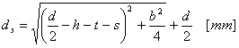
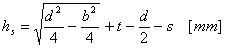
![]() |
średnica wału zakresu aktywności siły |
![]() |
średnica piasty zakresu aktywności siły |
|
|
siła na wale |
|
|
siła na piaście |
|
gdzie: |
|
T |
moment obrotowy [Nm] |
|
|
F s |
siła na wale [N] |
|
|
F h |
siła na piaście [N] |
|
|
K a |
współczynnik zewnętrznych sił dynamicznych |
|
|
K f |
współczynnik trwałości |
|
|
K w |
współczynnik zewnętrznych sił dynamicznych |
|
|
K m |
współczynnik rozłożenia obciążenia |
|
|
S v |
żądane bezpieczeństwo |
|
|
d |
średnica wału [mm] |
|
|
d s |
średnica wału, gdzie działa siła F s [mm] |
|
|
d h |
średnica wału, gdzie działa siła F d [mm] |
|
|
N |
liczba rowków [-] |
|
|
h |
wysokość rowka |
|
|
h s |
wysokość punktu działania siły na wale [mm] |
|
|
h h |
wysokość punktu działania siły na piaście [mm] |
|
|
b |
szerokość rowka |
|
|
t |
głębokość rowka w wale [mm] |
|
|
s |
fazowanie |
|
|
p Dmins |
minimalny dopuszczalny nacisk (rowek, wał) [MPa] |
|
|
p Dminh |
minimalny dopuszczalny nacisk (rowek, piasta) [MPa] |
Minimalna długość wpustu do przenoszenia momentu obrotowego
|
1. Połączenie stałe: |
a) |
|
b) |
|
|
L min = min(L mins , L minh ) |
|
|
2. Elastyczne połączenie: |
a) |
|
b) |
|
|
L min = min(L mins , L minh ) |
|
|
gdzie: |
|
F s |
siła na wale [N] |
|
|
F h |
siła na piaście [N] |
|
|
K a |
współczynnik zewnętrznych sił dynamicznych |
|
|
K f |
współczynnik trwałości |
|
|
K w |
współczynnik zewnętrznych sił dynamicznych |
|
|
K m |
współczynnik rozłożenia obciążenia |
|
|
S v |
żądane bezpieczeństwo |
|
|
d |
średnica wału [mm] |
|
|
N |
liczba rowków [-] |
|
|
h s |
wysokość punktu działania siły na wale [mm] |
|
|
h h |
wysokość punktu działania siły na piaście [mm] |
|
|
p Dmins |
minimalny dopuszczalny nacisk (rowek, wał) [MPa] |
|
|
p Dminh |
minimalny dopuszczalny nacisk (rowek, piasta) [MPa] |
Minimalny dopuszczalny nacisk
|
1. Połączenie stałe: |
a) |
|
b) |
|
|
2. Elastyczne połączenie: |
a) |
|
b) |
|
|
gdzie: |
|
F s |
siła na wale [N] |
|
|
F h |
siła na piaście [N] |
|
|
K a |
współczynnik zewnętrznych sił dynamicznych |
|
|
K f |
współczynnik trwałości |
|
|
K w |
współczynnik zewnętrznych sił dynamicznych |
|
|
K m |
współczynnik rozłożenia obciążenia |
|
|
S v |
żądane bezpieczeństwo |
|
|
d |
wewnętrzna średnica przekroju rowka [mm] |
|
|
N |
liczba rowków [-] |
|
|
h s |
wysokość punktu działania siły na wale [mm] |
|
|
h h |
wysokość punktu działania siły na piaście [mm] |
|
|
l f |
czynna długość wpustu [mm] |
Kontrola wytrzymałości
p mins ≤ p Ds
p minh ≤ p Dh
gdzie:
|
p mins |
minimalny obliczony nacisk ścinający w wale [MPa] |
|
|
p minh |
minimalny obliczony nacisk ścinający w piaście [MPa] |
|
|
p Ds |
dopuszczalny nacisk w wale [MPa] |
|
|
p Dh |
dopuszczalny nacisk w piaście [MPa] |
Obliczenia uproszczone
Minimalna długość wpustu do przenoszenia momentu obrotowego
|
1. Połączenie stałe: |
![]() |
|
2. Elastyczne połączenie: |
![]() |
|
gdzie: |
|
T |
moment obrotowy [Nm] |
|
|
K a |
współczynnik zewnętrznych sił dynamicznych |
|
|
K f |
współczynnik trwałości |
|
|
K w |
współczynnik zewnętrznych sił dynamicznych |
|
|
K m |
współczynnik rozłożenia obciążenia |
|
|
S v |
żądane bezpieczeństwo |
|
|
d |
średnica wału [mm] |
|
|
N |
liczba rowków [-] |
|
|
h |
wysokość rowka |
|
|
s |
fazowanie |
|
|
h st |
connection height h st = h - 2 s [mm] |
|
|
p Dmin |
dopuszczalny nacisk na powierzchnię nośną wału, rowka lub piasty [MPa] |
Nacisk dopuszczalny
|
1. Połączenie stałe: |
![]() |
|
2. Elastyczne połączenie: |
![]() |
|
gdzie: |
|
T |
moment obrotowy [Nm] |
|
|
K a |
współczynnik zewnętrznych sił dynamicznych |
|
|
K f |
współczynnik trwałości |
|
|
K w |
współczynnik zewnętrznych sił dynamicznych |
|
|
K m |
współczynnik rozłożenia obciążenia |
|
|
S v |
żądane bezpieczeństwo |
|
|
d |
średnica wału [mm] |
|
|
N |
liczba rowków [-] |
|
|
h |
wysokość rowka |
|
|
s |
fazowanie |
|
|
h st |
connection height h st = h - 2 s [mm] |
|
|
l f |
czynna długość wpustu [mm] |
Kontrola wytrzymałości
p min ≤ p Ds
p min ≤ p Dh
gdzie:
|
p min |
minimalny obliczony nacisk h/2 [MPa] |
|
|
p Ds |
dopuszczalny nacisk w wale [MPa] |
|
|
p Dh |
dopuszczalny nacisk w piaście [MPa] |