Przekrój specjalny — z ażurowym środnikiem

Przekroje ażurowe tworzone są przez zespawanie rozciętych podłużnie środników przekrojów walcowanych (dwuteowników walcowanych dostępnych w bazach przekrojów). Dostępne są dwa typy przekrojów: z otworami w kształcie sześciokąta lub z otworami okrągłymi.

Pręty ażurowe mogą być wymiarowane jedynie według polskiej normy stalowej.

Dla przekroju ażurowego można określić:

PRZEKROJE Z OTWORAMI SZEŚCIOKĄTNYMI

Charakterystyki geometryczne

Całkowita wysokość przekroju: h = h + C + h s

Pole przekroju dla przekroju pełnego

Ap = A + c * tw

Pole przekroju dla przekroju z otworem

Ao = A — c * tw

Pole przekroju poprzecznego teowego pasa (przekrój z otworem)

A = 0.5 * Ao

Pola przekroju czynne przy ścinaniu

Ay = 2 * bf * tf — pole przekroju półek

Az = tw * (h — 2 * tf — c) — pole przekroju środnika w najsłabszym przekroju — z otworem

Położenie środka ciężkości przekroju

vz = vpz = 0.5 * H

vy = vpy = 0.5 * bf

Momenty bezwładności odpowiednio względem osi Y i Z, przekroju złożonego z samych pasów:

Średnia arytmetyczna momentów bezwładności przekroju osłabionego i nieosłabionego

Moment bezwładności na skręcanie

PRZEKROJE Z OTWORAMI OKRĄGŁYMI

Charakterystyki geometryczne

d — średnica otworów

w — odstęp między otworami

H — ‘nowa’ wysokość przekroju (całkowita wysokość przekroju podwyższonego)

Pole przekroju dla przekroju pełnego

Ap = A + (H — h) * tw

Pole przekroju dla przekroju z otworem

Ao = A + (H — h — d) * tw

Pole przekroju poprzecznego teowego pasa (przekrój z otworem)

A = 0.5 * Ao

Pola przekroju czynne przy ścinaniu

Ay = 2 * bf * tf — pole przekroju półek

Az = tw * (H — 2 * tf — d) — pole przekroju środnika w najsłabszym przekroju — z otworem

Położenie środka ciężkości przekroju

vz = vpz = 0.5 * H

vy = vpy = 0.5 * bf

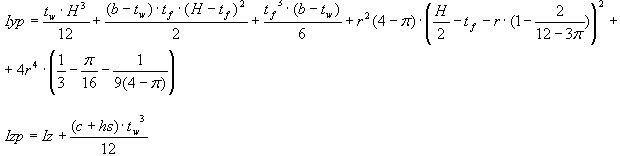
Momenty bezwładności odpowiednio względem osi Y i Z, przekroju złożonego z samych pasów

— dla przekroju pełnego

— dla przekroju z otworem

Średnia arytmetyczna momentów bezwładności przekroju osłabionego i nieosłabionego:

Moment bezwładności na skręcanie

Ciężar własny

PRZEKROJE Z OTWORAMI SZEŚCIOKĄTNYMI

Ponieważ przekrój ażurowy z otworami sześciokątnymi powstaje z przekroju standardowego (o znanych parametrach) bez żadnych niemalże strat (jedynie końce przekroju, które można zignorować), jego ciężar jest równy ciężarowi przekroju wyjściowego. W przypadku dodatkowego podwyższenia przekroju należy dodać do niego ciężar wkładek:

G = g + Gs

g — ciężar przekroju wyjściowego

gdzie:

h s *t w — pole przekroju wkładki

r s — ciężar właściwy stali

Zatem, ciężar własny

PRZEKROJE Z OTWORAMI OKRĄGŁYMI

Ciężar właściwy przekroju ażurowego z otworami okrągłymi należy obliczać jako ciężar przekroju podwyższonego (o wysokości ‘H’) o pełnym przekroju poprzecznym, pomniejszony o ciężar otworów.

Ciężar dla przekroju wyjściowego (z bazy): g

Ciężar dla przekroju podwyższonego pełnego: g1 = g + rs * (H - h) * tw

Ciężar przekroju ażurowego z otworami okrągłymi:

BAZY PRZEKROJÓW AŻUROWYCH

Przekroje ażurowe są dostępne także w bazach przekrojów: