Dla danej półosi, traktowanej zawsze jako dodatnia (x>0), można zbudować zbiór funkcji fi określonych w kolejnych przedziałach oddzielanych punktami charakterystycznymi xi.
Definiując funkcję fi określoną dla danego przedziału (xi, xi+1) należy uwzględnić:
Do oznaczania argumentu funkcji tworzonych przez wyrażenia należy używać symbolu x lub X. Wyrażenia można tworzyć, korzystając z następujących znaków:
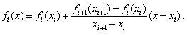
+, — , * , / , ^ (potęga) ,( ,) zgodnie z zasadami matematyki. Wyrażenie inf określa dla funkcji y(x) wartość równą nieskończoności. Błędnie określone wyrażenia (niepoprawny zapis) spowodują generację wartości funkcji równych zeru. Pominięcie argumentu x w wyrażeniu oznacza, że wyrażenie przyjmuje stałą wartość w danym przedziale (o ile wyrażenie było podane przy użyciu " "). Jeśli wyrażenie stałe jest podane bez " ", to wówczas jego wartość będzie rozumiana jako wartość funkcji w punkcie xi, a wartości dla x > xi będą interpolowane liniowo pomiędzy kolejnymi wartościami funkcji zgodnie ze wzorem:

W przypadku definicji modelu przegubu za pomocą określania funkcji należy pamiętać, że wielkości opisujące parametry funkcji muszą być podane w bazowych jednostkach programu Robot i nie będą przeliczane przy zmianie jednostek.