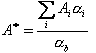
Podstawową funkcją modułu Definicja przekroju jest wyznaczenie właściwości geometrycznych zdefiniowanego przekroju pełnego. Dla przekrojów kompozytowych obliczane są charakterystyki ważone (oznaczone symbolem *) zdefiniowane następującym wzorem:
gdzie:
i — i-ty materiał przekroju złożonego
b — materiał bazowy przekroju złożonego
Ogólne wyniki obejmują podanie następujących wielkości (wartości podawane są jako wartości geometryczne i ważone): pole powierzchni, współrzędne środka ciężkości, wymiary, parametry materiału bazowego (moduł Younga, gęstość, ciężar na jednostkę); dodatkowo przeprowadzone mogą zostać obliczenia następujących wielkości (należy włączyć odpowiednią opcję i nacisnąć przycisk Oblicz)
Plastyczne wskaźniki wytrzymałości względem głównych, centralnych osi przekrojów są obliczane za pomocą wzorów podanych poniżej.
Moment zginający względem osi y lub z, który powoduje całkowite uplastycznienie przekroju, jest iloczynem wartości plastycznego wskaźnika wytrzymałości względem osi y lub z i wartości granicy plastyczności. Powierzchnie obszarów równoważnych, które powodują podział za pomocą linii neutralnej równoległej do osi y, są reprezentowane przez . Powierzchnie obszarów równoważnych, które powodują podział za pomocą linii neutralnej równoległej do osi z, są reprezentowane przez
.
Wyniki dodatkowych obliczeń będą prezentowane na karcie Układ główny okna dialogowego Wyniki.