Analiza tego stanu może być wymagana w przypadku, gdy udział sił poziomych oddziałujących na fundament jest duży w porównaniu z siłami pionowymi. Sytuacja taka powoduje możliwość zniszczenia gruntu spowodowanego poślizgiem stopy fundamentu po gruncie lub poślizgiem pomiędzy warstwami gruntów warstwowych, gdy warstwy zalegające poniżej są słabsze od warstw bezpośrednio stykających się ze stopą.
W celu bezpośredniego uniknięcia utraty stateczności na przesunięcie zalecane jest stosowanie poniższych rozwiązań:
Przy analizie poślizgu należy zwrócić uwagę na fakt, że spójność gruntu przylegającego bezpośrednio do fundamentu może być zmieniona podczas prac wykonawczych lub z powodu zmiennego położenia zwierciadła wody. W takich przypadkach należy zredukować wartość spójności gruntu.
Dla wszystkich norm (z wyjątkiem ACI, CSA, DTU 13.12 i Wiązka nr 62 - Miano V), można wybrać opcję Przesunięcie zależnie od nacisku gruntu. Wybranie tej opcji powoduje, że będzie dodatkowo obliczane parcie gruntu Pa i odpór gruntu Pp.

Program będzie uwzględniać wysokość bryły parcia równą:
Zgodnie z powyższym rysunkiem odpór będzie obliczany z następującego wzoru:
co dla drugiej warstwy rozumiemy jako:
.
Całkowity odpór gruntu to:
Jeżeli naziom jest obciążony, należy w obliczeniach uwzględnić człon:
Obciążenie q musi być stałe i jest przemnażane przez współczynnik zwiększający. Algorytm do obliczania P a jest identyczny jak dla P p .
Użytkownik może zdefiniować obciążenie działające na określoną ćwiartkę stopy fundamentowej. W takim wypadku parcie gruntu działające z określonej strony zostanie wyliczone proporcjonalnie do długości wybranej ćwiartki.

Użytkownik może obliczać poślizg z uwzględnieniem parcia gruntu dla obu kierunków równocześnie lub dla każdego osobno (wybór z listy wyboru kierunków X i Y, dla kierunku X, dla kierunku Y).
Obliczenia dla poszczególnych norm
Wymiarowanie na poślizg nie jest dostępne w wymienionych normach. Jeżeli taka analiza jest wymagana, konieczne jest ręczne sprawdzenie tej wartości.
Ogólny warunek stateczności na poślizg można przedstawić w następujący sposób:
H ≤ H Tarcie
gdzie:
Tarcie H = V * tg(φ) + c * Ac
V — siła pionowa
j — kąt tarcia wewnętrznego gruntu
c — spójność
Ac — powierzchnia kontaktu fundament-grunt.
W wyniku wymiarowania na ten stan graniczny otrzymujemy współczynnik bezpieczeństwa konstrukcji: Tarcie H / H, którego wartość jest równa lub większa od 1,0.
Opcje w oknie dialogowym Opcje geotechniczne umożliwiają analizę tego stanu granicznego oraz ustalenie granicznej wartości współczynnika.
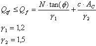
Ogólny warunek stateczności na poślizg można przedstawić w następujący sposób:
Qrf ≤ Qf = N * tg (ϕ) + c*AC
gdzie:
Qtf — siła pozioma
N — siła pionowa
ϕ — kąt tarcia wewnętrznego gruntu, przy czym przyjmowana wartość tg(ϕ) jest nie większa niż 0.5
c — spójność gruntu (lecz nie więcej niż 75 kPa)
Ac — powierzchnia kontaktu fundament-grunt.
W przypadku oddziaływań sejsmicznych zgodnie z literaturą pomijana jest spójność gruntu, co powoduje redukcję wzoru na poślizg do postaci:
W przypadku analizy poślizgu pomiędzy fundamentem a podbetonem, który nie jest powiązany zbrojeniem łącznikowym z fundamentem, wprowadzany jest współczynnik tarcia beton-podbeton, którego wartość jest równa 0,75.
Jeżeli występują pręty łącznikowe, które zapewniają trwałe połączenie fundamentu z podbetonem, to warunek ten nie jest sprawdzany.
Wynikiem wymiarowania na ten stan graniczny jest współczynnik bezpieczeństwa konstrukcji: Qtf / Qf, którego wartość jest równa lub większa od 1.0.
Włączenie analizy tego stanu granicznego oraz ustalenie granicznej wartości współczynnika jest możliwe w oknie dialogowym Opcje geotechniczne.
Analiza poślizgu jest prowadzona zgodnie z punktem 6.5.3.
Ponieważ norma EC7 nie zabrania uwzględniania spójności gruntu przy analizie poślizgu 6.5.3 (8), możliwe jest częściowe lub całkowite wykorzystanie spójności, wprowadzając do wzoru dodatkowy człon uwzględniający zredukowaną spójność.
gdzie:
współczynnik j zawierający się w przedziale <0.0, 1.0> może zostać zdefiniowany w oknie dialogowym Opcje geotechniczne
A’ — powierzchnia pracy fundamentu (powierzchnia kontaktu fundament—grunt)
c’ — obliczeniowa efektywna spójność gruntu.
W przypadku wprowadzenia współczynnika 0.0 wzór ten przyjmuje dokładnie postać normową (6.3).
Sd = A'* cu.
Jeżeli powierzchnia pracy nie jest równa powierzchni fundamentu (występuje odrywanie), to sprawdzany jest warunek (6.5):
Sd < 0.4 Vd.
Analiza poślizgu jest prowadzona zgodnie z punktem 6.5.3.
Warunek ogólny jest opisany za pomocą wzoru (6.2):
Hd ≤ Rd + Rp;d
Rd = V'd * tgδ d
W oparciu o punkt A.2 (2), który odnosi się do współczynnika γ φ , przyjęto, że wartość z obliczeń dla współczynnika tarcia wynosi:
Parametr tan d, który jest charakterystycznym współczynnikiem tarcia fundament—grunt, stanowi własność gruntu zapisaną w bazie gruntów, o nazwie Współczynnik tarcia.
Parametr tan d jest używany do fundamentów formowanych bezpośrednio na gruncie, zgodnie z bazą gruntów, gdzie powinien zostać zdefiniowany zgodnie z normą i kątem tarcia w warunkach krytycznych tan δ = tan φ cv 6.5.3 (10) i A.2 (2). Po włączeniu opcji Fundament gładki prefabrykowany 6.5.3 (10) w oknie dialogowym Opcje geotechniczne zgodnie z 6.5.3 (10) i A.2 (2) wartość współczynnika obliczana jest w następujący sposób:
Norma EC7 nie zaleca uwzględniania spójności gruntu w analizie poślizgu 6.5.3 (10), pomimo że program dysponuje taką możliwością. Częściowe lub całkowite uwzględnienie spójności jest możliwe dzięki wprowadzeniu dodatkowego elementu do wzoru (6.3a):
Rd = V'd * tgδ d + ξ * a c * c u
gdzie:
współczynnik j zawierający się w przedziale <0.0, 1.0> może zostać zdefiniowany w oknie dialogowym Opcje geotechniczne
A’ — powierzchnia pracy fundamentu (powierzchnia kontaktu fundament—grunt)
c’ — obliczeniowa efektywna spójność gruntu.
Domyślna wartość współczynnika redukcji ξ = 0,0.
Rd = A c * c u;d
Jeżeli powierzchnia pracy nie jest równa powierzchni fundamentu (występuje odrywanie), to sprawdzany jest warunek (6.5):
Rd < 0.4 Vd.
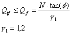
Ogólny warunek stateczności na poślizg można przedstawić w następujący sposób:

gdzie:
Qtf — siła pozioma.
N — siła pionowa
φ — kąt tarcia wewnętrznego gruntu
c — spójność gruntu (lecz nie więcej niż 75 kPa)
Ac — powierzchnia kontaktu fundament-grunt.
W przypadku oddziaływań sejsmicznych zgodnie z literaturą pomijana jest spójność gruntu, co powoduje redukcję wzoru na poślizg do postaci:
W przypadku analizy poślizgu pomiędzy fundamentem a podbetonem, który nie jest powiązany zbrojeniem łącznikowym z fundamentem, wprowadzany jest współczynnik tarcia beton-podbeton, którego wartość jest równa 0,75.
Jeżeli występują pręty łącznikowe, które zapewniają trwałe połączenie fundamentu z podbetonem, to warunek ten nie jest sprawdzany.
Wynikiem wymiarowania na ten stan graniczny jest współczynnik bezpieczeństwa konstrukcji: Qtf / Qf, którego wartość jest równa lub większa od 1.0.
Włączenie analizy tego stanu granicznego oraz ustalenie granicznej wartości współczynnika jest możliwe w oknie dialogowym Opcje geotechniczne.
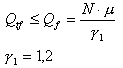
Norma PN—81/B—03020 [A3] nie przedstawia bezpośrednio warunku na poślizg fundamentu. Poniższy opis odwołuje się bezpośrednio do normy PN—83/B—03010 [A4]. Ogólny warunek stateczności na poślizg według tej normy oraz literatury można przedstawić w następujący sposób:
dla warstwy położonej poniżej poziomu kontaktu:
gdzie:
F r — obliczeniowa siła przesuwająca
N — obliczeniowa siła pionowa w poziomie posadowienia
A' c — zredukowane pole podstawy fundamentu
ϕ — obliczeniowy kąt tarcia wewnętrznego gruntu
A c — powierzchnia kontaktu fundament—grunt (zredukowane pole podstawy fundamentu)
μ — współczynnik tarcia fundament—grunt
c t — zredukowana wartość spójności = (0,2 do 0,5) * cu
c u — obliczeniowa wartość spójności gruntu
m — współczynnik korekcyjny.
Wynikiem wymiarowania na ten stan graniczny jest współczynnik bezpieczeństwa konstrukcji:
Włączenie analizy tego stanu granicznego oraz ustalenie granicznej wartości współczynnika jest możliwe w oknie dialogowym Opcje geotechniczne.
Ogólny warunek stateczności na poślizg można przedstawić w następujący sposób:
gdzie:
H — siła pozioma
γc — współczynnik warunków pracy
γ n — współczynnik niezawodności uwzględniający przeznaczenie budowli
V — siła pionowa
φ — kąt tarcia wewnętrznego gruntu
c — spójność gruntu
Ac — powierzchnia kontaktu fundament-grunt
Wynikiem wymiarowania na ten stan graniczny jest współczynnik bezpieczeństwa konstrukcji:
Włączenie analizy tego stanu granicznego oraz ustalenie granicznej wartości współczynnika jest możliwe w oknie dialogowym Opcje geotechniczne.