Model paraboliczny (wg EC)

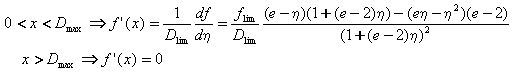
Parametry modelu parabolicznego (wg EC) określone dla dodatnich argumentów x>0 (podawana jest również wartość pochodnej niezbędnej do określenia sztywności):

Wielkości pomocnicze:

Funkcja:

Pochodna (sztywność):

Ograniczenia: