Nośność gruntu jest podstawowym stanem granicznym wymiarowania fundamentu, dlatego nie może być wyłączony podczas wymiarowania lub analizy fundamentu. Analiza tego stanu polega na porównaniu maksymalnej wartości siły lub naprężania pochodzących od obciążeń zewnętrznych z wartościami dopuszczalnymi. Wartości dopuszczalne mogą być definiowane przez użytkownika lub obliczane przez program na podstawie parametrów gruntów.
W przypadku wartości obliczanych przez program istnieje możliwość analizy podłoża warstwowego. Dla zadawanej przez użytkownika wartości naprężeń dopuszczalnych wartości są porównywane bezpośrednio pod podstawą fundamentu.
Jeżeli nośność gruntu zadawana jest przez użytkownika, to wartość ta jest porównywana z:
Obliczenia dla poszczególnych norm
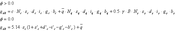
W literaturze przedstawiono kilka podstawowych metod wyznaczania nośności gruntu. Metody te sprowadzają obliczenia do wyliczenia naprężeń dopuszczalnych gruncie lub odpowiadającej im dopuszczalnej siły. Wymieniając chronologicznie są to metody: Terzagiego (1943), Meyerhofa (1963), Hansena (1970), Versića (1973, 1975). W module wykorzystano metodę Hansena wraz z wytycznymi dla tej metody przedstawionymi w literaturze. Podstawowy wzór na nośność wg Hansena:

Na potrzeby programu został on ograniczony do przypadków, które mogą być analizowane w module stóp fundamentowych. Założono, że współczynniki odpowiadające za pochylenie stopy b i pochylenie naziomu g są równe 1.0.
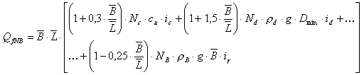
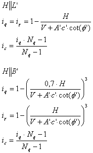
Ponieważ w module nie jest dopuszczone użycie gruntów o kącie tarcia φ = 0.0 stopni, stosuje się jedynie pierwszy z wzorów Hansena. Końcowy wzór na obliczane naprężenie dopuszczalnych dla ACI \ BS 8004:1986 \ CSA jest przedstawiony poniżej:
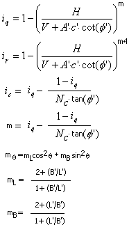
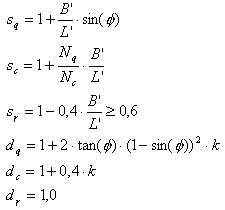
gdzie odpowiednie współczynniki wynoszą:

przy czym powierzchnia efektywna A’ = B’ * L’.

gdzie:

Obliczona wartość qult podzielona przez współczynnik bezpieczeństwa SF=3.0 jest porównywana z maksymalnym średnim naprężeniem w gruncie wywołanym w stanie SLS
Dla norm francuskich dostępne są następujące metody obliczania nośności gruntu:
Laboratoryjna
w tej metodzie dla obu norm przeprowadzane są obliczenia według punktu 3.21 normy DTU 13.12 (norma Fascicule nie zawiera wytycznych odnośnie metody laboratoryjnej).
Ogólny warunek nośności można wyrazić w następujący sposób:
.
Przy czym przez qref należy rozumieć największe średnie naprężenie występujące pod fundamentem w stanie SGN, natomiast gg jest współczynnikiem wynoszącym 2 dla kombinacji SGN oraz 1,5 dla kombinacji SGN z udziałem obciążeń wiatrem.
Obliczenia wartości nośności przebiegają w następujący sposób:
.
Współczynniki bezwymiarowe nośności wynoszą:
.
Współczynniki bezwymiarowe kształtu wynoszą:
.
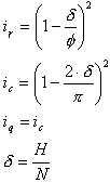
Współczynniki bezwymiarowe nachylenia obciążenia wywołany przez siłę poziomą H wynoszą:
.
Presjometryczna pełna
W tej metodzie obliczenia przeprowadzane są w oparciu o zdefiniowaną przez użytkownika krzywą będącą wynikiem polowych badań presjometrycznych. Istotnym parametrem jest również typ gruntu w poziomie posadowienia fundamentu (od typu gruntu zależą współczynniki wykorzystywane w obliczeniu nośności). Typy gruntów przyjęte są w oparciu o załącznik E.1. normy Fascicule 62 Titre V.
Ogólny warunek nośności można wyrazić w następujący sposób:
(analogicznie jak w metodzie laboratoryjnej).
Obliczenia wartości nośności qu przebiegają w oparciu o punkt 3.22 normy w następujący sposób:
.
Wartości w powyższym wzorze przyjęte są zgodnie z normą, przy czym p le * jest ekwiwalentnym naprężeniem granicznym wyznaczonym według wzoru:
gdzie B oznacza wymiar fundamentu w rozpatrywanym kierunku.
Jako głębokość posadowienia brana jest minimalna głębokość posadowienia Dmin pomniejszona o głębokość d (pomijalną część głębokości posadowienia).
Ogólny warunek nośności można wyrazić w następujący sposób:
.
Wszystkie wartości w powyższym wzorze przyjęte są zgodnie z normą, w oparciu o punkt B.3.1,1, a także załączniki B.1., E.2., F.1.
Presjometryczna naprężeniowa
Nośność gruntu dla tej metody przyjmowana jest w oparciu o wartość podaną bezpośrednio przez użytkownika. Wartość qu zdefiniowana przez użytkownika jako dopuszczalna (charakterystyczna), ULS lub SLS, przeliczana jest zawsze na wartość charakterystyczną qu, a następnie w oparciu o tę wartość obliczana jest graniczna wartość naprężenia qlim, według wzorów:
DTU 13.12
Norma Fascicule 62 Titre 62
.
Dodatkowo, jeśli wybrano rektyfikację, przeprowadzana jest rektyfikacja wartości podanej przez użytkownika ze względu na geometrię oraz obciążenia. Wartość podana przez użytkownika traktowana jest jak nośność qu dla fundamentu o jednostkowych wymiarach (A=B=1m) i pod działaniem wyłącznie obciążeń pionowych, posadowionego na głębokości (Dmin – d). W wyniku rektyfikacji uwzględniane są rzeczywiste wymiary fundamentu, wpływ obciążeń poziomych oraz momentów (mimośrodów). Ma to odzwierciedlenie w obliczeniach współczynników kp, idb. Istotnym parametrem jest również typ gruntu w poziomie posadowienia fundamentu (od typu gruntu zależą współczynniki wykorzystywane w obliczeniu nośności). Typy gruntów przyjęte są w oparciu o załącznik E.1. normy Fascicule 62 Titre V.
Analiza nośności gruntu jest oparta na punkcie 6.5.1, 6.5.2 i Załączniku B normy EC 7. Ogólny warunek nośności: V d < R d może zostać zaostrzony poprzez wprowadzenie współczynnika bezpieczeństwa większego od 1,0 (w oknie dialogowym Opcje geotechniczne na karcie Ogólne).
Obliczenia wartości nośności przebiegają w następujący sposób:
Współczynniki bezwymiarowe nośności wynoszą:
.
Współczynniki bezwymiarowe kształtu wynoszą:
.
Współczynniki bezwymiarowe nachylenia obciążenia wywołany przez siłę pozioma H odpowiednio równolegle do dłuższego i krótszego boku wynoszą:
.
współczynniki głębokości posadowienia wynoszą:

gdzie:
.
.
współczynnik bezwymiarowy kształtu wynosi:
sc = 1.2 + 0.2 * ( B’ / L’ ).
współczynnik bezwymiarowy nachylenia obciążenia wywołany przez siłę poziomą H wynosi:
Wykorzystywany jest parametr gruntu: Spójność bez drenażu — cu.
Analiza nośności gruntu jest oparta na punkcie 6.5.2.1, 6.5.2.2 i Załączniku D normy EC 7. Ogólny warunek nośności V d < Rd jest mnożony przez współczynnik g R w zależności od podejścia obliczeniowego. Współczynnik może być modyfikowane w Preferencjach zadania. Obliczenie wartości nośności jest wykonywane w następujący sposób:
Obliczenia wartości nośności przebiegają w następujący sposób:
Współczynniki bezwymiarowe nośności wynoszą:
.
Współczynniki bezwymiarowe kształtu wynoszą:
.
Współczynniki bezwymiarowe nachylenia obciążenia wywołany przez siłę pozioma H odpowiednio równolegle do dłuższego i krótszego boku wynoszą:

współczynniki głębokości posadowienia wynoszą:

gdzie:
.
.
współczynnik bezwymiarowy kształtu wynosi:
sc = 1.2 + 0.2 * ( B’ / L’ ).
współczynnik bezwymiarowy nachylenia obciążenia wywołany przez siłę poziomą H wynosi:
Wykorzystywany jest parametr gruntu: Spójność bez drenażu — c u .
Częściowe współczynniki dla EN 1997—1—1:2004 (EC 7)
Dla normy EN 1997—1—1:2004, istnieje możliwość modyfikowania częściowych współczynników dla zestawów R (nacisk i opór) i M (parametry gruntu) 2.4.7.3.4.
Domyślne wartości parametrów można znaleźć w Preferencjach zadania.
Zestawy (dla operacji lub ich efektów) częściowych współczynników w regulacjach dla kombinacji norm geotechnicznych (EC7_2004_geo.rgl).
Analiza nośności gruntu jest oparta na punkcie 3.3.3, Załączniku 1. Ogólny warunek nośności:
może zostać zaostrzony poprzez wprowadzenie współczynnika bezpieczeństwa większego od 1.0 (w oknie dialogowym Opcje geotechniczne):
Obliczenia wartości nośności przebiegają w następujący sposób (Z1—2):
.
Współczynniki bezwymiarowe nośności wynoszą:
.
Współczynniki bezwymiarowe i są wyznaczane na podstawie normowych nomogramów (rys Z1—2).
Analiza nośności gruntu jest oparta na punkcie 2.58 —2. Ogólny warunek nośności (11):
gdzie:
γ c — współczynnik środowiskowy
γ n — współczynnik niezawodności, uwzględniający przeznaczenie budowli
Oba te współczynniki mogą być zmienione w oknie dialogowym Opcje geotechniczne zgodnie z przedstawioną tam formułą:
.
Jako wynik wymiarowania otrzymujemy współczynnik niezawodności konstrukcji równy:
.
Obliczenia wartości nośności przebiegają w następujący sposób (16):
.
Bezwymiarowe współczynniki nośności N są obliczane zgodnie z tabelą 7 normy. wykonywana jest interpolacja liniowa między wartościami. Bezwymiarowe współczynniki kształtu x są obliczane w następujący sposób (17):
.