Informacje na temat kombinacji kwadratowych

Odpowiedź modalna jest wyznaczana przy użyciu następującego wzoru:

gdzie:

n — liczba postaci

e ij — współczynniki korelacji

R i , R j — odpowiedź spektralna do postaci i oraz j

W programie dostępne są następujące typy kombinacji kwadratowych:

Metoda SRSS

Dla metody SRSS współczynniki korelacyjne wynoszą:

eij = 1 dla i=j,

eij = 0 dla i≠j,

zatem:

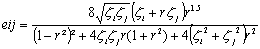
Metoda CQC

Dla metody CQC współczynniki korelacyjne obliczane są ze wzoru:

gdzie:

ζ i , ζ j — współczynniki tłumienia dla postaci i oraz j (wartości względne)

r = min (T i /T j ; T j /T i ) ≤ 1

T j , T i — okresy drgań dla postaci i oraz j.

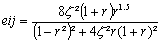
Powyższy wzór jest wykorzystywany w programie, gdy włączona jest opcja Uwzględnij tłumienie w oknie parametrów analizy modalnej. Gdy ta opcja jest wyłączona, jedna wartość tłumienia jest wykorzystywana dla wszystkich postaci i powyższy wzór przybiera postać:

Metoda 10%

gdzie Rdir1 jest maksymalną wartością poszczególnego elementu do danego składnika trzęsienia ziemi zdefiniowanego jako dir1; Rkdir1 jest maksymalną wartością odpowiedzi elementu ze względu na k—tą postać.

Uwaga: Wzór ma zastosowanie dla (ωj — ωi) / ωi ≤ 0.1, gdzie 1 ≤ i < j ≤ N, a ωi, ωj są pulsacjami i—tej i j—tej postaci.

Metoda podwójnej sumy (2SM)

gdzie Rdir1 jest maksymalną wartością poszczególnego elementu do danego składnika trzęsienia ziemi zdefiniowanego jako dir1; Rkdir1 jest maksymalną wartością odpowiedzi elementu ze względu na k—tą postać (k <—> s); N jest liczbą postaci.

τ jest czasem trwania trzęsienia ziemi

ξk jest współczynnikiem tłumienia dla k—tej postaci

ωk jest pulsacją dla k—tej postaci (k <—> s).

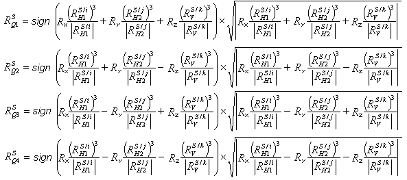
Kombinacje znakowane

Wzory umożliwiające wyznaczenie kombinacji kwadratowej znakowanej RQ dla kierunków H1, H2 i V:

gdzie:

RH1 — odpowiedź kwadratowa wielkości obliczonej ze wszystkich odpowiedzi modalnych przypadku sejsmicznego lub spektralnego dla pierwszego kierunku poziomego.

RH2 — odpowiedź kwadratowa wielkości obliczonej ze wszystkich odpowiedzi modalnych przypadku sejsmicznego lub spektralnego dla drugiego kierunku poziomego.

RV — odpowiedź kwadratowa wielkości obliczonej ze wszystkich odpowiedzi modalnych przypadku sejsmicznego lub spektralnego dla kierunku pionowego.

Rx, Ry, Rz — współczynniki zdefiniowane jak dla kombinacji kwadratowej w oknie dialogowym Definicja kierunku.