Sobre a geometria de equação da observação do azimute/rumo

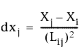
A alteração das coordenadas para cada observação é expressa nas seguintes aproximações em séries Taylor da equação de observação do azimute/rumo:

e

onde

A ilustração a seguir mostra a geometria da equação de observação do azimute/rumo: