Cálculo de juntas de pinos clevis para unidades métricas

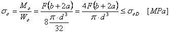
Tensão de dobra

Pressão na vareta

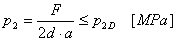
Pressão no clevis

Tensão de corte

onde:

 

F

força [N]

 

σ 0

tensão de dobra [MPa]

 

σ 0D

tensão de dobra suportada [MPa]

 

M 0

momento de dobra[N mm]

 

W 0

módulo da seção de dobra [mm 3 ]

  τ

tensão de corte [MPa]

 

τ D

tensão de corte suportada [MPa]

 

d

diâmetro do pino [mm]

 

p 1

pressão na vareta [MPa]

 

p 2

pressão no clevis [MPa]

 

p 1D

pressão suportada na vareta [MPa]

 

p 2D

pressão suportada no clevis [MPa]

 

b

largura da vareta [mm]

 

a

largura do braço do clevis [mm]