Conceitos básicos de cálculo da corrente de rolo

Construção de cadeias

O gerador de cadeias de rolo destina-se a projetar transmissões por cadeia com cadeias de rolo e de bucha. As cadeias podem ter um único trecho ou vários. São suportadas também as cadeias de passo duplo. Na ilustração a seguir, é exibida a construção típica de cadeias de rolo e de bucha. A principal diferença é que as cadeias de bucha não têm rolo.

Componentes das cadeias de bucha

Componentes das correntes de rolo

  1. placa externa
  2. placa interna
  3. pinos de rolamento
  4. bucha
  5. rolo

Se o comprimento da cadeia possuir um número par de passos, é possível utilizar o elo de conexão para ligar os dois extremos da cadeia. Normalmente, a capacidade de potência da cadeia não é reduzida.

Se o comprimento da cadeia possui um número mar de passos, é possível utilizar um elo de compensação em uma das extremidades da cadeia. Posteriormente, o elo de conexão pode ser utilizado para ligar os dois extremos da cadeia. O elo de compensação costuma reduzir a capacidade de potência da cadeia. A quantidade de potência reduzida é determinada pelo tipo e pela construção do elo de compensação. Calcule a redução de capacidade de potência da cadeia necessária para diminuir o fator de construção da cadeia.

Tensão de carga repetida

As cadeias das transmissões por cadeia estão carregadas com tensão cíclica, o que torna a cadeia sujeita à fadiga. O diagrama da carga típica é exibido na seguinte ilustração. O diagrama de carga pode variar segundo os diferentes layouts de transmissão.

Desgaste

O desgaste é um fator importante ao projetar transmissões por corrente de rolo. Normalmente, as cadeias de rolo costumam sofrer maior desgaste das juntas e das rodas dentadas.

O desgaste das juntas da cadeia faz com que as cadeias de rolo sejam estendidas. As rodas dentadas das cadeias de rolo são projetadas para suportar até 3% de alongamento de cadeia devido ao desgaste (1,5% no caso de cadeias de duplo passo). Se a percentagem de alongamento da cadeia supera o valor suportado, a cadeia deixa de encaixar nas rodas dentadas e o sistema não funciona corretamente. É possível que o desgaste das juntas da cadeia em rodas dentadas de grande tamanho ou em transmissões com distância fixa ao centro não seja o mesmo. Se a cadeia desgastada vai ser substituída, recomenda-se substituir também as rodas dentadas.

Desgaste das juntas da cadeia

O desgaste das rodas dentadas é medido pela modificação da forma dos dentes. Estes começam a ter uma forma de gancho. As rodas dentadas das polias intermediárias se desgastam na parte inferior do espaço do dente. Quando este espaço está muito desgastado, os rolos da cadeia se engancham com a parte superior do dente ao entrar e sair da roda dentada da polia intermediária. O desgaste das rodas dentadas pode originar cargas de impacto na cadeia. Invertendo a roda dentada no eixo, por vezes pode prolongar a vida útil da roda dentada desgastada.

Desgaste na roda dentada de transmissão por corrente de rolo

Desgaste na roda dentada da polia intermediária da corrente de rolo

Lubrificação

Boa lubrificação na transmissão por cadeia é imprescindível para que a cadeia tenha a maior vida útil possível. Para que a lubrificação seja eficaz, basta aplicar o lubrificante necessário nas zonas corretas. O principal problema é conseguir a quantidade suficiente de lubrificante limpo nas superfícies de rolamento dos pinos, buchas e rolos.

Lubrificação manual: o óleo é aplicado generosamente com um pincel ou um pulverizador ao menos uma vez a cada 8 horas de funcionamento. A transmissão é parada e a potência fica bloqueada. A quantidade e a frequência deveriam bastar para impedir o superaquecimento da cadeia ou o aparecimento de descoloração terrosa (óxido) do lubrificante nas juntas da cadeia.

Lubrificação por gotejo: o óleo cai de forma contínua nas arestas superiores das placas de reforço (também chamadas barras laterais) a partir de um sistema de lubrificação por gotejo. A quantidade e a frequência deveriam bastar para impedir o aparecimento de descoloração terrosa (óxido) do lubrificante nas juntas da cadeia. A velocidade do gotejo costuma oscilar entre 4 e 20 (ou mais) gotas por minuto. Precaução deve ser tomada contra a má administração das gotas por conta do vento.

Lubrificação por banho: o trecho inferior da cadeia passa por um depósito de óleo no gabinete da transmissão. Em funcionamento, o nível de óleo deve chegar até a linha de passos da cadeia em seu ponto mais baixo.

Lubrificação do disco: a cadeia funciona acima do nível de óleo. O disco obtém óleo do reservatório e deposita-o na cadeia (normalmente, com uma cuba). O diâmetro do disco deve ser o necessário para conseguir uma velocidade de rotação adequada para recolher o óleo corretamente. Velocidades mais altas podem causar a formação de espuma no óleo e superaquecimento

Lubrificação por alimentação forçada: o lubrificante é aplicado através de uma bomba de circulação que fornece à transmissão por cadeia uma quantidade constante de óleo. O óleo deve ser dirigido ao trecho destensado, aplicado dentro do contorno da cadeia e distribuído de forma eficaz ao longo da largura da cadeia para garantir que o óleo chegue a todas as superfícies de rolamento. Se necessário, é possível utilizar um refrigerador e um filtro de óleo.

O óleo lubrificante deve estar livre de contaminantes, principalmente partículas abrasivas.

A classe de viscosidade do óleo lubrificante de transmissões por cadeia é definida segundo a temperatura ambiente do seguinte modo:

Temperatura ambiente [°C]

-5 t +5

+5 t +25

+25 t +45

+45 t +70

Classe de viscosidade do óleo

VG 68 (SAE 20)

VG 100 (SAE 30)

VG 150 (SAE 40)

VG 220 (SAE 50)

A lubrificação recomendada é especificada pelo tamanho e velocidade da cadeia, tal como mostra a tabela a seguir:

onde:

A ) Faixa de lubrificação manual. A velocidade máxima da cadeia é

ν = 2.8 p -0.56

B) Faixa de lubrificação por gotejo. A velocidade máxima da cadeia é

ν = 7 p -0.56

C) Faixa de lubrificação por banho de óleo ou por disco. A velocidade máxima da cadeia é

ν = 35 p -0.56

D) Faixa de lubrificação por alimentação forçada.

A seguinte ilustração mostra a relação entre o andamento do desgaste das juntas da cadeia durante sua vida útil e a qualidade de lubrificação:

onde:

 

a

Corrente não lubrificada em ambiente sujo abrasivo

 

b

Corrente com lubrificação insuficiente.

 

c

Corrente com lubrificação adequada.

Normalmente, ao princípio da vida útil da cadeia, o desgaste avança rapidamente. Este estado recebe o nome de desgaste inicial. A precarga pode aumentar a vida útil da cadeia.

Posteriormente, as juntas da cadeia seguem desgastando-se a menor ritmo. Isto recebe o nome de desgaste normal. Ao final da vida útil de uma cadeia, o desgaste da junta volta a avançar depressa.

Resistência máxima à tração da cadeia F Ou

A resistência máxima à tração da cadeia representa a carga máxima que a cadeia pode suportar em um único aplicativo antes de se quebrar. Não é o mesmo que a carga de trabalho suportada ou a carga de medida. A função principal de uma especificação de resistência máxima à tração é garantir que a cadeia foi montada corretamente. O gerador de correntes de rolo utiliza a resistência máxima à menor tração possível para determinar os coeficientes de segurança de ruptura das correntes. Além disso, utilizando fatores adicionais que participam no cálculo da expectativa de vida útil dos elos da cadeia ou a fadiga das placas de reforço.

O valor padrão da resistência máxima à tração vem de recomendações regulares para um tamanho de cadeia determinado, mas é possível consultar este parâmetro nas especificações fornecidas pelo fabricante de cada cadeia. A resistência à tração pode diferir para o mesmo tamanho de cadeia entre diferentes fabricantes, bem como entre materiais de cadeia diferentes.

Massa específica da cadeia m

A massa específica da cadeia depende do tamanho, construção e material. O valor padrão vem de recomendações regulares ou do valor mais próximo de cadeias de aço de fabricantes de cadeias. A massa específica é empregada para calcular a força centrífuga e para a análise da vibração.

Fator de construção de cadeia Φ

O fator de construção da cadeia descreve a qualidade real da cadeia. Influi diretamente na potência da cadeia e na pressão da área de contato admissível da cadeia. O fator costuma ser um. O fator é maior que um se a cadeia for fabricada com um material que tem uma resistência mais alta ou se a qualidade da cadeia é superior à mencionada nas normas nacionais.

Potência da cadeia P R

A potência da cadeia representa a capacidade da cadeia em condições de funcionamento específicas. Normalmente, a capacidade da cadeia está limitada pela fadiga das placas de reforço, pela fadiga do impacto da bucha e do rolo e pela corrosão da bucha e dos pinos. Na seguinte imagem, é exibido um gráfico típico de potência.

onde:

 

A

capacidade de potência de transmissão por cadeia limitada pela fadiga das placas de reforço.

 

B

capacidade de potência de transmissão por cadeia limitada pela fadiga do impacto da bucha e do rolo.

 

C

capacidade de potência de transmissão por cadeia limitada pela corrosão da bucha e dos pinos.

Fatores de correção de potência

As equações de potência das cadeias fornecem a capacidade de potência válida para transmissões por cadeia que funcionam em condições normais específicas. Se sua transmissão por cadeia funciona em condições que não correspondem com as normais, é preciso inserir fatores de correção de potência, como descrito a seguir.

Condições normais de funcionamento:

  1. uma transmissão por cadeia com duas rodas dentadas nos eixos horizontais paralelos.
  2. uma roda dentada pequena com 19 dentes.
  3. uma cadeia Simplex sem reforços entalhados.
  4. um comprimento de cadeia de:

    120 passos para cadeias ISO,

    100 passos para cadeias ANSI, CSN.

  5. uma relação de velocidade de 1:3 ou 3:1.
  6. uma expectativa de vida útil de:

    15.000 horas em cadeias ISO, ANSI, DIN,

    10.000 horas em cadeias CSN.

  7. uma temperatura de funcionamento entre -5 ºC e +70 ºC.
  8. rodas dentadas alinhadas corretamente e uma cadeia com o ajuste correto.
  9. funcionamento uniforme sem sobrecarga, impactos ou arranques frequentes.
  10. limpeza e lubrificação adequadas durante a vida útil da cadeia.

Fator de impacto Y

O fator de serviço leva em conta as sobrecargas dinâmicas que dependem das condições de funcionamento da transmissão por cadeia, bem como de suas características motrizes e conduzidas. O fator de impacto é utilizado para determinar o tamanho do fator de serviço e fator dinâmico de segurança. Os picos de carga causados por impactos inesperados ou as sobrecargas podem aumentar consideravelmente devido aos importantes momentos de inércia da maquinaria motriz ou conduzida. Por padrão, o gerador de cadeias utiliza a tabela a seguir para calcular o fator de impacto.

Y

Aplicativo

1,0

Funcionamento correto

1,5

Funcionamento correto com impactos ocasionas

2,0

Impactos ligeiros, sobrecargas moderadas com picos temporários

3,0

Impactos moderados, sobrecargas fortes com picos temporários

4,0

Impactos fortes, sobrecargas moderadas com picos constantes

5,0

Impactos fortes, sobrecargas fortes com picos constantes

Fator de serviço f 1

O fator de serviço leva em conta as cargas dinâmicas que dependem das condições de funcionamento da transmissão por cadeia que são originadas, principalmente, nos elementos motrizes e conduzidos. O valor do fator pode ser selecionado diretamente ou pode-se utilizar a tabela a seguir.

Características da maquinaria conduzida

Características da maquinaria motriz

Funcionamento correto

Impactos ligeiros

Impactos moderados

Funcionamento correto

1,0

1,1

1,3

Impactos moderados

1,4

1,5

1,7

Impactos fortes

1,8

1,9

2,1

Definições das características da maquinaria motriz

Características da maquinaria motriz

Exemplos de tipos de maquinaria

Funcionamento correto

Motores elétricos, turbinas a vapor e a gás, e motores de combustão interna com acoplamento hidráulico

Impactos ligeiros

Motores de combustão interna com seis ou mais cilindros e acoplamento mecânico, motores elétricos submetidos a arranques frequentes (mais de dois ao dia)

Impactos moderados

Motores de combustão interna com menos de seis cilindros e acoplamento mecânico

Definições das características da maquinaria conduzida

Características da maquinaria conduzida

Exemplos de tipos de maquinaria

Funcionamento correto

Bombas centrífugas e compressores, impressoras, fitas transportadoras com carga uniforme, calendários de papel, escadas rolantes, agitadores de líquidos, misturadores, secadoras giratórias e ventiladores

Impactos moderados

Bombas alternativas e compressores com três ou mais cilindros, máquinas de mistura de concreto, fitas transportadoras com carga não uniforme, agitadores e misturadores de sólidos

Impactos fortes

Escavadoras; moinhos de rolos e de esferas, máquinas de processamento da borracha; plainas, prensas, tesouras, bombas, compressores com um ou dois cilindros, anéis de perfuração de petróleo

Por padrão, o fator de serviço é calculado em função do fator de impacto, como mostra o seguinte gráfico:

onde:

 

Y

fator de impacto [-]

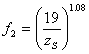
Fator de tamanho da roda dentada f 2

O fator de tamanho da roda dentada leva em conta o número de dentes da roda dentada pequena. O fator é igual a um se as equações de potência consideram o número de dentes da menor roda dentada da transmissão. O tamanho da menor roda dentada afeta de forma específica à potência da cadeia.

Ao personalizar a potência da cadeia, também será necessário revisar o fator de tamanho da roda dentada. Se a potência é especificada a partir das tabelas de potência com respeito ao número de dentes da menor roda dentada, o fator continua sendo um. Se a potência é obtida da tabela de potências onde o número de dentes da menor roda dentada não é considerado, então talvez seja necessário ajustar o tamanho do fator. O fator de tamanho da roda dentada afeta o poder do projeto. Por padrão, o gerador de cadeias calcula o tamanho do fator a partir da fórmula

onde:

 

z s

Número de dentes da roda dentada pequena [-]

Fator de concatenação f 3

Por padrão, a potência para cadeias de um único trecho é determinada pelas equações de potência. A potência de uma cadeia com vários trechos equivale à potência de um único trecho multiplicada pelo fator de concatenação. Por padrão, o programa usa uma tabela interna como a que é mostrada a seguir. O fator de concatenação também é utilizado durante a análise da expectativa de vida útil.

Cordões encadeados

1

2

3

4

5

6

f 3 [-]

1

1,7

2,5

3,3

3,9

4,6

Fator de lubrificação f 4

O fator de lubrificação indica ao programa a quantidade inadequada de lubrificação que pode afetar a capacidade de potência da cadeia e a sua vida útil. Se lubrificação adequada é selecionada, o tamanho do fator é um e não afeta a análise. Se a lubrificação inadequada precisa ser utilizada, o fator diminui a potência da cadeia limitada pela corrosão da bucha e dos pinos, ou o fator aumenta toda a potência do projeto. Por padrão, o programa utiliza a tabela a seguir para indicar o efeito da lubrificação selecionada.

Velocidade da cadeia

[m/s]

Fator de lubrificação [-]

Lubrificação

Sem lubrificação

Recomendado

Insuficiente

Ambiente limpo

Ambiente sujo

até 4

1

0,6

0,3

0,15

até 7

0,3

0,15

Inadmissível

até 12

Inadmissível

mais de 12

Fator de distância entre eixos f 5

A distância mínima ao centro é a metade da soma dos diâmetros externos das rodas dentadas para evitar que os dentes se choquem. Para garantir o ajuste correto da roda dentada pequena (aproximadamente 120 graus), é recomendados que a distância mínima ao centro seja a soma do diâmetro externo da roda dentada grande mais a metade do diâmetro externo da roda dentada pequena.

É conveniente definir a distância ao centro a 30-50 vezes o passo da cadeia. A distância prática ao centro mais longa é de 80 vezes o passo da cadeia, já que a curvatura da catenária é muito pronunciada.

O fator de distância entre eixos corrige a potência do projeto e considera a diferença existente entre a distância real ao centro e seu valor normal. O fator de distância entre eixos existe para compensar a modificação da distribuição das tensões de carga e o modo como afetam à fadiga da cadeia. Por padrão, o fator de distância entre eixos é calculado do modo a seguir.

onde:

 

f 5

fator de distância entre eixos [-]

 

X B

número de reforços de cadeia em condições normais de funcionamento [-]

 

X

número real de reforços de cadeia na transmissão [-]

Fator de coeficiente f 6

O fator de coeficiente corrige a potência do projeto e considera diferença existente entre o coeficiente de transmissão e seu valor normal. O fator de coeficiente existe para compensar a modificação da distribuição de tensão de cargas e o modo como afeta à fadiga da cadeia. Por padrão, o fator de coeficiente é determinado a partir do gráfico a seguir no que diz respeito à relação de transmissão

O coeficiente de transmissão é dado pelo número de dentes da roda dentada motriz e conduzida.

para z 1 < z 2 i = z 2 / z 1

para z 1 > z 2 i = z 1 / z 2

onde:

 

f 6

fator de coeficiente [-]

 

i

coeficiente de transmissão [-]

 

z 1

número de dentes da roda dentada motriz [-]

 

z 2

número de dentes da roda dentada conduzida [-]

Fator de vida útil f 7

O fator de vida útil corrige a potência do projeto e considera a diferença existente entre a vida útil requerida e seu valor normal. Por padrão, o fator de vida útil é calculado a partir da fórmula

onde:

 

f 7

Fator de vida útil [-]

 

L h

Vida útil requerida [horas]

 

L hB

Expectativa de Vida útil normal [horas]

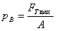
Análise da pressão na área de contato do grupo de rolamentos

Durante a vida útil da transmissão por cadeia, a carga flutuante de tração atua nas superfícies de contato entre os pinos e as buchas. Isto provoca uma pressão específica na área de contato do grupo de rolamentos. A quantidade de pressão real na área de contato do grupo de rolamentos é calculada a partir da tensão máxima no intervalo da cadeia utilizando a fórmula

onde:

 

p B

Pressão real na área de contato do grupo de rolamentos [Pa]

 

F Tmáx

Tensão máxima no intervalo da cadeia especificado [N]

 

A

Área de contato do grupo de rolamentos [m 2 ]

Área de contato do grupo de rolamentos A

A área de contato do grupo de rolamentos é definida pela largura do reforço de cadeia interno e pelo diâmetro do pino. Os valores reais de cada cadeia são definidos nos arquivos de dados XML.

A = b 2 d 2

onde:

A área de contato do grupo de rolamentos [m 2 ]

b 2 Largura do reforço de cadeia interno [m]

d 2 diâmetro do pino da cadeia [m]

Pressão admissível na área de contato do grupo de rolamentos p 0

Os valores da pressão suportada na área de contato do grupo de rolamentos que aparecem no seguinte gráfico são aplicados unicamente em condições normais de funcionamento. Em determinadas condições de funcionamento, o valor é corrigido mediante o fator específico de atrito λ, que resulta na pressão admissível total. A pressão admissível total é comparada a seguir com a pressão real na área de contato do grupo de rolamentos.

A pressão admissível especificada aqui pode ser utilizada em cadeias de aço comuns. No caso das cadeias fabricadas com diferentes materiais, pode ser necessário ajustar a pressão admissível.

A pressão admissível obtida no gráfico anterior também é corrigida mediante o fator de construção da cadeia, de maneira que a pressão admissível pode ser definida com a fórmula

p 0 = p B0 φ

onde:

 

p 0

Pressão admissível na área de contato do grupo de rolamentos em condições normais de funcionamento [Pa]

 

p B0

Pressão específica admissível no rolamento da cadeia em condições normais de funcionamento [Pa]

  φ

Fator de construção de cadeia [-]

Fator específico de atrito λ

O fator de atrito específico corrige a pressão admissível na área de contato do grupo de rolamentos. O tamanho do fator depende das condições reais de funcionamento e é definido a partir da fórmula

onde:

  λ

Fator de atrito específico [-]

 

f 1

Fator de serviço [-]

 

f 4

Fator de lubrificação [-]

 

f 5

Fator de distância entre eixos [-]

 

f 6

Fator de coeficiente [-]

 

f 7

Fator de vida útil [-]