Fórmulas de cálculo de eixo

Estas fórmulas são usadas para solucionar um eixo (com uma ou mais seções) ou uma viga (com uma seção constante) com múltiplos suportes e cargas.

O eixo do eixo / viga é alinhado com o eixo Z. Se é incluído no cálculo o impacto da densidade do material, então o vetor da gravidade é alinhado com o eixo Y. Se é incluído no cálculo o impacto da densidade do material, então o vetor da gravidade é alinhado com o eixo Y.

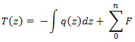
Forças de corte:

Momentos de dobrado:

Ângulo de deflexão:

onde:

 

E

módulo de elasticidade em tensão

 

J

momento de inércia

 

G

módulo de rigidez

  β

coeficiente de deslocamento do corte

Deflexão:

Tensão de dobra:

Tensão de corte:

Tensão de torção:

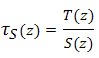
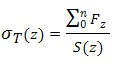
Tensão:

Tensão reduzida:

onde:

  σ B tensão de dobra
  σ T

tensão

  τ tensão de torção
  τ S tensão de corte
  α α = 3 para HMH
    α = 4 para Tresca-Guest

Exemplo de cálculo

Módulo de elasticidade E= 210 000 MPa

Módulo de rigidez G = 81 000 MPa

Coeficiente de deslocamento de corte β=1,118

Modo de tensão reduzida: HMH

Não incluir a densidade do material.

Forças de suporte:

Tensão de corte máxima:

Tensão de torção máxima:

Momento máximo:

Tensão de dobra máxima:

Tensão reduzida máxima:

Ângulo de torção: