Cálculo das proporções de resistência da correia trapezoidal

Equações gerais utilizadas

Onde m é uma massa de correia específica definida como m = S ρ

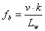
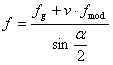
Fator de atrito alterado de uma dada polia

f = f g + v f mod

Equações fundamentais de polias impulsoras e correias

potência para transmitir

Velocidade de correia

Frequência de flexão da correia

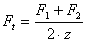
Desmoldagem efetiva (ou tensão efetiva)

Força centrífuga

Fc = z m v 2

Tensão nos intervalos da correia

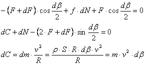
Com as equações seguintes, o aplicativo primeiro determina a polia com maior probabilidade de requerer a tensão máxima de instalação de correia para poder transmitir uma carga. Em seguida, a tensão da correia de cada intervalo é ajustada para todas as polias com respeito à tensão de instalação da correia inicial.

F 1i - F p P xi - F 2i = 0

O critério para determinar a polia mais provável é a tensão do lado de máximo aperto

F 1máx = máx (F 1i )

A tensão máxima total no intervalo da correia (para cada correia) quando a transmissão da correia é localizada abaixo da carga completa é determinada como

Onde a expressão “k 1 F 1máx ” é a tensão máxima real no segmento da correia considerado para todas as correias da transmissão de correia. Deste modo, todas as tensões correspondentes dos diferentes segmentos são calculados novamente para cumprir a seguinte condição:

F 1i - F P P xi - F 2i = 0

Carga axial resultante para cada polia quando a transmissão da correia é localizada abaixo da carga completa

Nota: Nas polias conduzidas e nas polias intermediárias, F 1 e F 2 são revertidos no gerador, de maneira que F 1 é a tensão de entrada no intervalo da correia e F 2 é a tensão de saída no intervalo da correia no sentido do movimento da correia.

Tensão de instalação inicial da correia e força de tensionamento estática

A tensão de instalação inicial da correia requerida (para cada correia) pode ser ajustada com o fator de tensão e é calculada do modo a seguir:

A força de tensionamento estático F v é determinada para cada polia. O aplicativo calcula a força de tensionamento que atua sobre o eixo dos intervalos da correia da forma seguinte:

Significado das variáveis utilizadas:

C Força tangencial [N]
β Arco de contato [gr]
α Ângulo de setor [gr]
C Força centrífuga [N]
N Força normal [N]
m Massa específica da correia [kg/m]
v Velocidade da correia [m/s]
R Raio de polia [m]
S Área da seção transversal da correia [m 2 ]
T Torque em uma polia especificada [Nm]
D p Diâmetro do flanco de polia [m]
k Número de polias [-]
P potência para transmitir [N]
v Velocidade da correia [m/s]
F c Força centrífuga [N]
F 1 Tensão no segmento da correia na entrada para a polia especificada [-]
F 2 Tensão no segmento da correia na saída para a polia especificada [-]
f Fator de atrito alterado da polia especificada [-]
P x Taxa de potência da polia especificada [-]
f g Fator de atrito do material e correia da polia especificada [-]

f mod

Fator de velocidade de modificação do atrito [s/m]
Z Número de correias [-]
ρ Densidade da correia [kg/m3]
F t Tensão inicial de instalação da correia [N
F v Força de tensionamento estática para a polia especificada [N]
k 1 Fator de tensão da correia [-]
Nota: i = índice da polia