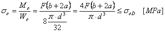
Tensão de dobra

Pressão na vareta
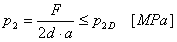
Pressão no clevis
Tensão de corte
onde:
|
F |
força [N] |
|
|
σ 0 |
tensão de dobra [MPa] |
|
|
σ 0D |
tensão de dobra suportada [MPa] |
|
|
M 0 |
momento de dobra[N mm] |
|
|
W 0 |
módulo da seção de dobra [mm 3 ] |
|
| τ |
tensão de corte [MPa] |
|
|
τ D |
tensão de corte suportada [MPa] |
|
|
d |
diâmetro do pino [mm] |
|
|
p 1 |
pressão na vareta [MPa] |
|
|
p 2 |
pressão no clevis [MPa] |
|
|
p 1D |
pressão suportada na vareta [MPa] |
|
|
p 2D |
pressão suportada no clevis [MPa] |
|
|
b |
largura da vareta [mm] |
|
|
a |
largura do braço do clevis [mm] |