Torque transferido
onde:
|
P |
potência transferida [Kw] |
|
|
n |
velocidade [mín -1 ] |
Pressão na superfície de suporte chanfrada
1. diâmetro interno do eixo d h > 0
a)
b) se d min ≤d h -> d min = 1,1 d h [mm]
c) se d min ≤ 1,5 d h -> d min = 1,5 d h [mm]
2. diâmetro interno do eixo d h = 0
onde:
|
d mín |
diâmetro mínimo do eixo [mm] |
|
|
d h |
diâmetro interno do eixo [mm] |
|
|
T |
torque [Nm] |
|
|
K a |
fator de aplicação |
|
|
K f |
fator de vida útil de fadiga |
|
|
S v |
segurança desejada |
|
|
τ Al |
Tensão de corte suportada |
Comprimento mínimo das splines para transferir o torque
|
1. Conexão fixa: |
![]() |
|
2. Conexão flexível: |
![]() |
|
onde: |
|
T |
torque [Nm] |
|
|
K a |
fator de aplicação |
|
|
K f |
fator de vida útil de desgaste |
|
|
K w |
fator de aplicação |
|
|
K m |
fator de distribuição da carga |
|
|
S v |
segurança desejada |
|
|
d s |
diâmetro do meio = (D + d) / 2 [mm] |
|
|
D |
diâmetro externo da seção chanfrado [mm] |
|
|
d |
diâmetro interno da seção chanfrado [mm] |
|
|
N |
número de ranhuras [-] |
|
|
h |
altura chanfrada = (D - d) / 2 [mm] |
|
|
s |
chanfro [mm] |
|
|
h st |
altura de conexão h st = h - 2 s [mm] |
|
|
p Dmin |
pressão suportada na superfície de suporte do eixo ou ranhura [MPa] |
Pressão suportada
|
1. Conexão fixa: |
![]() |
|
2. Conexão flexível: |
![]() |
|
onde: |
|
T |
torque [Nm] |
|
|
K a |
fator de aplicação |
|
|
K f |
fator de vida útil de desgaste |
|
|
K w |
fator de aplicação |
|
|
K m |
fator de distribuição da carga |
|
|
S v |
segurança desejada |
|
|
d s |
diâmetro do meio = (D + d) / 2 [mm] |
|
|
D |
diâmetro externo da seção chanfrado [mm] |
|
|
d |
diâmetro interno da seção chanfrado [mm] |
|
|
N |
número de ranhuras [-] |
|
|
h |
altura chanfrada = (D - d) / 2 [mm] |
|
|
s |
chanfro [mm] |
|
|
h st |
altura de conexão h st = h - 2 s [mm] |
|
|
l f |
comprimento ativo da chave [mm] |
Verificação de resistência
p min ≤ p ds
p min ≤ p dh
onde:
|
P mín |
pressão mínima calculada h/2 [MPa] |
|
|
p ds |
pressão suportada no eixo [MPa] |
|
|
p dh |
pressão suportada no cubo [MPa] |
Cálculo em unidades métricas segundo a norma CSN 01 4950
Tensão de dobra
onde:
|
s sf |
espessura de dedendum do dente cordal do eixo |
s sf = 2,17m |
|
|
h |
altura do dente do eixo |
h = 1,1m - 0,05 |
centralizado nos lados do dente, parte inferior chanfrada plana |
|
h = 1,28m - 0,05 |
centralizado nos lados do dente, parte inferior chanfrada redonda |
||
|
h = 1,2 m |
centralização externa |
Pressão na superfície de suporte chanfrado
onde:
|
h n |
altura da spline do rolamento da carga |
h n = 0,9 m - 0,05 |
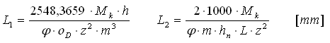
Comprimento mínimo das splines
L mín = máx {L 1 , L 2 } [mm]
onde:
Valores recomendados: L = (0,8 - 1,6) D
Verificação das splines
p ≤ p d e σ≤σ d
onde:
|
P |
potência transferida [kW] |
|
|
n |
velocidade [mín -1 ] |
|
|
z |
número do dente [-] |
|
|
p D |
pressão suportada nas superfícies de contato dos dentes [MPa] |
|
|
σ D |
tensão de dobra suportada [MPa] |
|
|
L |
comprimento ativo da spline [mm] |
|
|
D |
diâmetro de spline nominal [mm] |
|
| ϕ |
fator de contato da lateral do dente |