A viscosidade, o caudal e o número de Reynolds de um fluido de refrigeração estão interligados.
O modelo de viscosidade do fluido de refrigeração é dado pela seguinte equação:
em que:
é a viscosidade (Pa.sec.)
é a temperatura do fluido de refrigeração (K)
é um coeficiente ajustado aos dados (Pa.sec)
e
são coeficientes ajustados aos dados (K)
é equivalente a 273,15 K A relação entre o caudal e a viscosidade pode ser derivada da teoria de um fluxo viscoso incompressível através dos tubos, começando com a fórmula de Darcy-Weisbach:
em que:
é a perda de calor, equivalente a
, a queda de pressão no tubo dividida pela densidade do fluido vezes a constante da gravidade
é o fator de fricção
é o comprimento do tubo
é o diâmetro do tubo
é a velocidade média do fluxo, equivalente a
, o caudal dividido pela área da secção transversal do tubo Substituindo
e
como acima, temos:
O fator de fricção,
, na equação acima está relacionado com o número de Reynolds,
, seguido de números de Reynolds inferiores, em que
:
Para o intervalo maior, em que o número de Reynolds é fornecido por
, o fator de fricção é 
onde
O número de Reynolds está relacionado com a viscosidade,
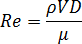
, pela seguinte equação: