Формулы для расчета характеристик вала

Эти формулы используются для расчета параметров вала (с одним или несколькими сечениями) или балки (с одним постоянным сечением) с различными опорами и нагрузками.

Ось вала (балки) располагается вдоль оси Z. Если при расчете учитывается плотность материала, вектор силы тяжести должен быть направлен по оси Y.

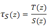
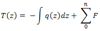
Усилия среза:

Изгибающие моменты:

Угол отклонения:

Где:

 

E

модуль упругости при натяжении

 

J

Момент инерции

 

G

модуль жесткости

  β

коэффициент смещения при сдвиге

Деформация:

Напряжение изгиба:

Напряжение сдвига:

Напряжение закручивания:

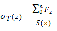
Напряжение при растяжении:

Приведенное напряжение:

Где:

  σ B напряжение изгиба
  σ T

напряжение при растяжении

  τ напряжение закручивания
  τ S напряжение сдвига
  α α = 3 для критерия Губера-Мизеса-Генки
    α = 4 для критерия Треска-Геста

Образец расчета

Модуль упругости E=210000 МПа

Модуль жесткости G= 81000 МПа

Коэффициент смещения при сдвиге β=1,118

Режим приведенного напряжения: Губер-Мизнес-Генки

Без учета плотности материала.

Усилия опоры:

Максимальное напряжение при сдвиге:

Максимальное напряжение при кручении:

Максимальный момент:

Максимальное напряжение при изгибе:

Максимальное приведенное напряжение:

Угол закручивания: