Передаваемый крутящий момент
Где:
|
P |
передаваемая мощность [кВт] |
|
|
n |
скорость [мин -1 ] |
Давление на опорной поверхности паза
1. внутренний диаметр вала d h > 0
а)
б) если d min ≤d h -> d min = 1,1 d h [мм]
в) если d min ≤ 1,5 d h -> d min = 1,5 d h [мм]
2. внутренний диаметр вала d h = 0
Где:
|
d min |
минимальный диаметр вала [мм] |
|
|
d h |
внутренний диаметр вала [мм] |
|
|
T |
крутящий момент [Нм] |
|
|
K a |
коэффициент внешней динамической нагрузки |
|
|
K f |
коэффициент усталостной выносливости |
|
|
S v |
необходимый запас прочности |
|
|
τ Al |
Допустимое напряжение среза |
Минимальная длина шлица для передачи крутящего момента
|
1. Фиксированное соединение: |
![]() |
|
2. Гибкое соединение: |
![]() |
|
Где: |
|
T |
крутящий момент [Нм] |
|
|
K a |
коэффициент внешней динамической нагрузки |
|
|
K f |
коэффициент срока службы до полного износа |
|
|
K w |
коэффициент внешней динамической нагрузки |
|
|
K m |
коэффициент распределения нагрузки |
|
|
S v |
необходимый запас прочности |
|
|
d s |
средний диаметр = (D + d) / 2 [мм] |
|
|
D |
наружный диаметр участка с пазом [мм] |
|
|
d |
внутренний диаметр участка с пазом [мм] |
|
|
N |
количество канавок [-] |
|
|
h |
высота канавки = (D - d) / 2 [мм] |
|
|
s |
фаска [мм] |
|
|
h st |
высота соединения h st = h - 2 s [мм] |
|
|
p Dmin |
допустимое давление на опорной поверхности вала или канавки [МПа] |
Допустимое давление
|
1. Фиксированное соединение: |
![]() |
|
2. Гибкое соединение: |
![]() |
|
Где: |
|
T |
крутящий момент [Нм] |
|
|
K a |
коэффициент внешней динамической нагрузки |
|
|
K f |
коэффициент срока службы до полного износа |
|
|
K w |
коэффициент внешней динамической нагрузки |
|
|
K m |
коэффициент распределения нагрузки |
|
|
S v |
необходимый запас прочности |
|
|
d s |
средний диаметр = (D + d) / 2 [мм] |
|
|
D |
наружный диаметр участка с пазом [мм] |
|
|
d |
внутренний диаметр участка с пазом [мм] |
|
|
N |
количество канавок [-] |
|
|
h |
высота канавки = (D - d) / 2 [мм] |
|
|
s |
фаска [мм] |
|
|
h st |
высота соединения h st = h - 2 s [мм] |
|
|
l f |
активная длина шпонки [мм] |
Проверка прочности
p min ≤ p ds
p min ≤ p dh
Где:
|
p min |
минимальное расчетное давление h/2 [МПа] |
|
|
p ds |
допустимое давление в вале [МПа] |
|
|
p dh |
допустимое давление в ступице [МПа] |
Расчет с использованием метрических единиц согласно стандарту CSN 01 4950
Напряжение изгиба
Где:
|
s sf |
толщина ножки зуба вала по хорде |
s sf = 2,17 м |
|
|
h |
высота зубьев вала |
h = 1,1m - 0,05 |
с центрированием по стенкам зуба, плоское дно канавки |
|
h = 1,28m - 0,05 |
с центрированием по стенкам зуба, скругленное дно канавки |
||
|
h = 1.2 m |
с внешним центрированием |
Давление на опорной поверхности паза
Где:
|
h n |
высота шлица, принимающего нагрузку |
h n = 0,9 m - 0,05 |
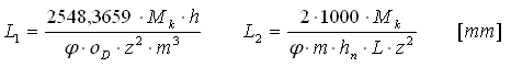
Минимальная длина шлица
L min = max {L 1 , L 2 } [мм]
Где:
Рекомендуемые значения: L = (0,8 - 1,6) D
Проверка шлица
p ≤ p d и σ≤σ d
Где:
|
P |
передаваемая мощность [кВт] |
|
|
n |
скорость [мин -1 ] |
|
|
z |
количество зубьев [-] |
|
|
p D |
допустимое давление на поверхностях соприкосновения зубьев [МПа] |
|
|
σ D |
допустимое напряжение при изгибе [MПa] |
|
|
L |
рабочая длина шлица [мм] |
|
|
D |
номинальный диаметр шлица [мм] |
|
| ϕ |
коэффициент бокового контакта шлицев |