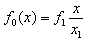
Для данной полуоси, которая всегда рассматривается как положительная (x>0), можно построить комплект функций fi, определяемых как последовательные множества, разделенные характеристическими точками xi.
При определении функции для данного множества (xi, xi+1) необходимо учитывать следующее:
Для обозначения аргумента функций, построенных при помощи выражений, используются символы x или X. В выражениях могут быть использованы следующие знаки:
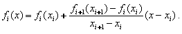
+, - , * , / , ^ (степень),(,) в соответствии с правилами математики. Выражение inf определяет величину, равную бесконечности, для функции y(x). Неправильно определенные выражения (неправильные обозначения) будут давать значения функций, равные нулю. Если в выражении не учитывается аргумент x, это означает, что выражение принимает постоянное значение на данном множестве, если выражение было определено при использовании знака " ". Если постоянное выражение было определено без знака " ", то его значение принимается как значение функции в точке xi, в то время как значения для x > xi будут линейно интерполироваться по последовательным значениям функции согласно формуле:

Для определения шарнирной модели путем определения функции рекомендуется использовать в величинах, описывающих параметры функции, базовые единицы измерения программа Robot, которые не будут пересчитываться, если единицы изменяются.