Несущая способность грунта - это основное предельное состояние при проектировании фундамента, которое (в отличие от других предельных состояний) в процессе проектирования и расчета фундамента вообще не может быть выключено. Расчет по этому предельному состоянию состоит в сравнении максимального значения силы или напряжения, возникающих от действия внешних нагрузок, с допускаемыми значениями. Допускаемые значения могут быть определены пользователем или вычисляются программой на основе параметров грунта.
В случае, когда допускаемые значения рассчитываются программой, имеется возможность расчета слоистого грунта. Определенные пользователем значения допускаемых напряжений сравниваются со значениями напряжений непосредственно под подошвой фундамента.
Если несущая способность грунта определяется пользователем, то это значение сравнивается с:
Расчет по разным нормам
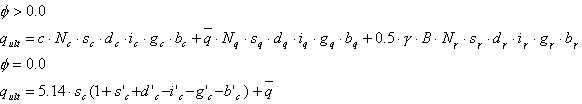
В литературе известен ряд фундаментальных методов расчета несущей способности фундамента. Центральным пунктом в этих методах является вычисление допускаемых напряжений в фундаменте или соответствующей им допускаемой силы. По хронологии эти методы появились в следуюцем порядке: Терзажи (1943), Мейерхофа (1963), Хансен(1970), Версиж (1973, 1975). В модуле расчета фундаментов используется метод Харсена, основные принципы которого можно найти в литературе. Основная формула несущей способности по Харсену имеет вид:

Формула ограничена лишь теми случаями, которые могут быть проанализированы в имеющемся в программе Robot модуле расчета фундамента на естественном основании. Предполагается, что коэффициенты, ответственные за наклон фундамента b и уклон засыпки g, равны 1,0.
Поскольку в модуле не допускается использовать грунты с углом внутреннего трения φ = 0,0 градусов, используется только первая из формул Харсена. Окончательная формула для расчета допускаемых напряжений, используемая в нормах ACI \ BS 8004:1986 \ CSA, показана ниже:
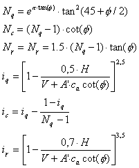
где основные факторы равны:

и эффективная площадь A' = B' * L'.

где

Вычисленное значение qult, деленное на коэффициент запаса SF = 3,0, сравнивается с максимальным средним напряжением в грунте, определенном по ПС2:
Для французских норм доступны следующие методы расчета несущей способности грунта:
Лабораторный;
В этом методе расчеты для тех и других норм выполняются согласно п. 3.21 DTU 13.12 (в нормах Fascicule нет рекомендаций для лабораторного метода).
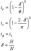
Основное условие несущей способности выражается следующим образом:
.
Основное условие несущей способности выражается следующим образом: где qult означает наибольшее среднее напряжение под фундаментом по ПС1.
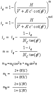
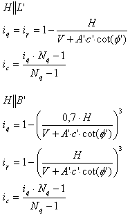
Расчет несущей способности состоит в следующем:
.
безразмерные коэффициенты несущей способности равны:
.
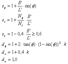
безразмерные коэффициенты формы равны:
.
безразмерные коэффициенты отклонения нагрузки от горизонтальной силы H равны:
.
Полный прессиометрический
В этом методе расчет основывается на огибающей, определяемой пользователем, являющейся результатом прессиометрического исследования на рабочем месте. Важным параметром является также тип грунта на отсчетной отметке фундамента (тип грунта определяет коэффициенты, используемые при расчете несущей способности). Типы грунта принимаются на основании приложения E.1. норм Fascicule 62 Titre V.
Общее условие несущей способности можно выразить следующим образом:
(аналогично тому, как в лабораторном методе).
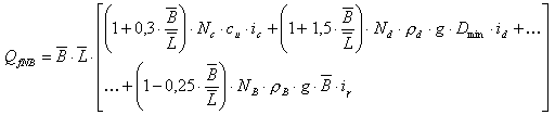
Расчет величины несущей способности qu выполняется согласно пункту 3.22 норм следующим образом:
.
Величины в формуле, представленной выше, принимаются согласно нормам и p le * - это эквивалентное предельное напряжение, рассчитанное по формуле:
где B – это размер фундамента в рассматриваемом направлении.
Глубина фундамента принимается как минимальная глубина фундамента Dmin , меньше чем глубина d (не учитываемая часть глубины фундамента).
Общее условие несущей способности можно выразить следующим образом:
.
Все величины в этой формуле принимаются согласно формуле из пункта B.3.1,1, а также приложений B.1., E.2., F.1.
Прессиометрическое напряжение
Несущая способность грунта для этого метода принимается на основании величины, определяемой непосредственно пользователем. Величина qu, определяемая пользователем, как допустимая (характерная), по ПС1 или ПС2 всегда приводится к характерной величине qu, а затем, на основании этой величины рассчитывают предельное напряжение qlim по формулам:
DTU 13.12
Fascicule 62 Titre 62
.
Кроме того, если выбирают корректировку, то программа выполняет корректировку величины, указанной пользователем, в зависимости от геометрии и нагрузок. Величина, указанная пользователем, рассматривается как несущая способность qu для фундамента с единичными размерами (A=B=1м), который подвержен действию только вертикальных нагрузок, глубина фундамента (Dmin – d). При корректировке учитываются реальные размеры фундамента, влияние горизонтальных нагрузок и моментов (эксцентриситет). Это отражается в расчете коэффициентов kp, idb. Следовательно, важным параметром является также тип грунта на отсчетной отметке фундамента (тип грунта определяет коэффициенты, используемые при расчете несущей способности). Типы грунтов принимаются на основании приложения E.1. норм Fascicule 62 Titre V
Расчет несущей способности грунта основан на пунктах 6.5.1, 6.5.2 и Приложении B к нормам EC 7. Основное условие несущей способности: V d < R d может быть сделано более строгим путем введения коэффициента запаса большего единицы (в диалоговом окне "Геотехнические опции" на вкладке "Основные"):
Расчет несущей способности осуществляется следующим образом:
безразмерные параметры несущей способности равны:
.
безразмерные коэффициенты формы равны:
.
безразмерные коэффициенты отклонения нагрузки от горизонтальной силы, параллельной более длинной и более короткой сторонам, равны соответственно:
.
коэффициенты глубины фундамента равны:

где
.
.
безразмерный коэффициент равен:
sc = 1,2 + 0,2 * ( B'/ L').
безразмерный коэффициент отклонения нагрузки от горизонтальной силы равен:
Обратите внимание на то, что здесь применяется параметр - C U Фекальные стоки.
Расчет несущей способности грунта основан на пунктах 6.5.2.1, 6.5.2.2 и Приложении D к нормам EC 7. Общая несущая способность V d < RD умножается на значение G R коэффициента, зависящего от подхода к расчету. Коэффициент может быть изменен в меню "Рабочие настройки". Расчет значения несущей способности осуществляется следующим образом:
Расчет несущей способности осуществляется следующим образом:
безразмерные параметры несущей способности равны:
.
безразмерные коэффициенты формы равны:
.
безразмерные коэффициенты отклонения нагрузки от горизонтальной силы, параллельной более длинной и более короткой сторонам, равны соответственно:

коэффициенты глубины фундамента равны:

где
.
.
безразмерный коэффициент равен:
sc = 1,2 + 0,2 * ( B'/ L').
безразмерный коэффициент отклонения нагрузки от горизонтальной силы равен:
Обратите внимание на то, что здесь применяется параметр - C U Фекальные стоки.
Коэффициенты запаса для EN 1997-1-1:2004 (ЕС 7)
Для норм EN 1997-1-1:2004 есть возможность изменить коэффициенты запаса R (давления и сопротивление) и M (параметры грунта), согласно п.2.4.7.3.4.
Значения по умолчанию параметров можно найти в рабочих настройках.
Установка (для операций или их действия) коэффициента запаса доступны в настройках меню Геотехнические опции (EC7_2004_geo.rgl).
Расчет несущей способности грунта основан на пунктах 3.3.3, Приложении 1. Основное условие несущей способности:
может быть сделано более строгим путем введения коэффициента запаса, большего единицы (в диалоговом окне Геотехнические опции):
Расчет несущей способности осуществляется так (Z1-2):
.
безразмерные параметры несущей способности равны:
.
безразмерные параметры определяются по номограммам, имеющимся в нормах, (рис. Z1-2).
Расчет несущей способности грунта основан на пунктах 2.58 -2. Основное условие несущей способности (11) выражается так:
где
γ C - коэффициент окружающей среды;
yn – коэффициент надежности, учитывающий использование, для которого конструкция предназначена.
Оба эти коэффициента могут быть изменены в диалоговом окне Геотехнические опции в соответствии с представленной ниже формулой:
.
В результате проектирования получен коэффициент надежности конструкции, который равен:
.
Расчет несущей способности осуществляется так (16):
.
Безразмерные коэффициенты несущей способности N вычисляются по таблице 7 в нормах. В таблице выполнена линейная интерполяция между значениями. Безразмерные коэффициенты формы x вычисляются по формуле (17):
.