脱层萌生准则(或损坏萌生准则)

Helius PFA 中实现的基于面力的脱层萌生准则有两种。

对于 Helius PFA 中实现的所有脱层模型,脱层萌生的预测将基于在粘性单元积分点处出现的面力(tn、ts、tt)。

最大应力标准

二次应力标准

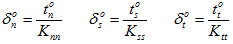
假设在载荷增加时当前这三个面力之比 (tn : ts : tt) 保持不变,则我们可以计算开始脱层时的面力 。对于二次应力标准,这些初始面力

同样,假定在载荷增加时当前这三个面力之比 (tn : ts : tt) 保持不变,则我们可以计算开始脱层时的相对位移