单元删除

可通过启用单元删除功能在分析期间删除单元。单元删除由 HIN 文件控制。

当删除某一单元时,该单元中的所有应力都将设为零,并且该单元将不再对模拟产生任何能量方面的影响。除非每个积分点都标记为“删除”,否则具有多个积分点的单元将无法删除。在该单元删除之前,所有积分点都具有非零刚度,并且继续影响模型的总应变能,无论其单个删除状态如何。

启用“单元删除”需要三个步骤:

  1. 在输入文件中修改 *DEPVAR 关键字
  2. 请求 STATUS 变量输出
  3. 在 HIN 文件中指定单元删除准则

修改 *DEPVAR

复合材料

对于复合材料,输入文件中的 *DEPVAR 关键字必须具有值为 1DELETE 参数。例如:

*DEPVAR, DELETE=1
8

可通过以下方式添加 DELETE=1 参数:使用 Abaqus/CAE,或者使用文本编辑器手动编辑输入文件。使用 Abaqus/CAE:

  1. 切换到“特性”模块
  2. 依次单击“材料”>“编辑”>“材料名称”
  3. 从“材料行为”列表中选择“Depvar”
  4. 将控制单元删除的变量数设置为 1
  5. 单击“确定

粘性材料(仅在 Abaqus 2016 或更高版本中受支持)

对于粘性材料,输入文件中的 *DEPVAR 关键字必须具有值为 10DELETE 参数。例如:

*DEPVAR, DELETE=10
10

如上所述,可通过以下方式添加 DELETE=10 参数:使用 Abaqus/CAE,或者使用文本编辑器手动编辑输入文件。

注: 粘性单元的单元删除完全由 *DEPVAR 关键字控制。当损坏已全部累积时 (SDV6 = 1),将标记粘性单元以指示删除。删除粘性单元无需使用 HIN 文件关键字。

请求输出

STATUS 变量必须包含在单元输出列表中。例如:

*OUTPUT, FIELD
*ELEMENTOUTPUT
SDV, STATUS

STATUS 变量可通过以下方式添加到输出请求:使用 Abaqus/CAE,或者使用文本编辑器手动编辑输入文件。使用 Abaqus/CAE:

  1. 依次单击“输出”>“字段输出请求”>“管理器”
  2. 单击“编辑”
  3. 从输出变量列表中选择“STATUS”
  4. 单击“确定

注: 如果省略此步骤,单元删除仍将正常工作。但是,Abaqus/Viewer 无法从可视化中移除已删除的单元。

HIN 文件

HIN 文件中的 *ELEMENT DELETION 关键字用于控制删除准则。*ELEMENT DELETION 准则采用以下形式:

*ELEMENT DELTION, TYPE=type, CRIT=crit

其中 TYPECRIT 参数是必需的输入。*ELEMENT DELETION 关键字必须位于 HIN 文件中 *MATERIAL 关键字的下方。

单向材料

对于单向复合材料,可使用以下 TYPE 和 CRIT 组合:

*ELEMENT DELETION, TYPE=MATRIX, CRIT=RELOAD
Max_Ratio

*ELEMENT DELETION, TYPE=MATRIX, CRIT=SPLIT
theta

*ELEMENT DELETION, TYPE=FIBER, CRIT=ANY

对于 TYPE=MATRIX,有两个可用准则,即 RELOAD 和 SPLIT。

TYPE=MATRIX, CRIT=RELOAD

如果在基体失效后单元中的应力级别达到特定值,RELOAD 准则将删除该单元。一旦基体失效,von mises 应力 σvmt(来自于 σ22、σ33、σ12、σ13 和 σ23 项)将与完全 von mises 应力 σvm(包括 σ11)进行比较。如果 σvmt 与 σvm 之比超出用户指定的值,该单元将标记为删除。

RELOAD 准则将评估非纤维控制方向上的应力张量级别。在基体失效后,我们希望这些方向上的刚度能够尽可能保持在较低的水平上(因为基体已开裂)。但在某些情况下,应力可能会因大应变而重载。RELOAD 准则可消除具有此行为的单元,以便这些单元不会对分析产生能量方面的影响,这是不尽合理的。

当使用 CRIT=RELOAD 时,必须指定 σvmt 与 σvm 允许的最大比率。这可在 *ELEMENT DELETION 关键字后面的第一个数据行上进行指定。例如:

*ELEMENT DELETION, TYPE=MATRIX, CRIT=RELOAD
0.2

在此示例中,如果 σvmt 达到或超过完全 von mises 应力 σvm 的 20%,将删除单元。

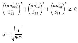
TYPE=MATRIX, CRIT=SPLIT

对于 TYPE=MATRIX, CRIT=SPLIT,在出现基体失效后评估基体分割。基体失效触发后,如果已标识基体分割,单元则标记为删除。拆分由以下条件确定:

其中 α 是比例系数,使用单向基体失效准则 Ψm 计算得出。θ 表示用户定义的阈值,控制单元删除触发时间。θ 的默认值为 0.75。θ 必须位于范围 0 < θ ≤ 1 之内。请注意,评估分割时仅使用复合应力的 σ22c、σ12c 和 σ13c 分量。它们是对基体中纵向拆分产生影响的应力分量。括在 Macaulay 括号内的 σ22c 量确保 σ22c 仅在应力拉伸时对基体分割的评估产生影响。

请考虑以下示例:如果已使用阈值 θ = 0.80 标识分割,单元应删除。

*MATERIAL, NAME=IM7_8552
*ELEMENT DELETION, TYPE=MATRIX, CRIT=SPLIT
0.8

TYPE=FIBER, CRIT=ANY

对于 TYPE=FIBER,唯一可用的准则是 ANY。ANY 标准指示任何纤维失效将自动触发单元删除。该准则没有任何数据行。

瞬时降级与基于能量的降级的重要注意事项

单元删除的操作方式因所采用的降级方案而异。如果使用瞬时降级,只要失效出现,便会监视单元删除准则。如果使用基于能量的降级,则在断裂能完全耗散之前,不会监视单元删除准则。

织物材料

对于织物复合材料,可使用以下 TYPE 和 CRIT 组合:

*ELEMENT DELETION, TYPE=FIBER, CRIT=ANY

*ELEMENT DELETION, TYPE=FIBER, CRIT=BOTH

*ELEMENT DELETION, TYPE=FIBER, CRIT=RELOAD

对于织物复合材料,没有可用的基于基体失效的单元删除准则。

对于 CRIT=ANY,如果纤维在一侧牵引作用下失效,将触发单元删除。

对于 CRIT=BOTH,如果纤维在两侧牵引作用下失效,将触发单元删除。

对于 CRIT=RELOAD,在纤维失效后,将监视牵引方向上的应力。将失效牵引方向上的法线应力 σn 与失效牵引方向上的极限拉伸强度 S11U 进行比较。如果 σn 与 S11U 之比超出用户指定的值 β,将删除单元。β 必须在 *ELEMENT DELETION 关键字后面的第一个数据行上进行指定。例如:

*ELEMENT DELETION, TYPE=FIBER, CRIT=RELOAD
0.3

在此示例中,如果 σn 达到或超过 S11U 的 30%,将删除单元。RELOAD 准则还包括 BOTH 准则的逻辑,这样两侧牵引作用下的纤维失效还将触发单元删除。

注: 任意组合的 TYPE 参数可用于给定材料。每个 TYPE 参数都需要自己的 *ELEMENT DELETION 关键字。

注: 如果未提供 CRIT 参数,HIN 文件将始终默认为 CRIT=NONE,在这种情况下,将不会就给定的 TYPE 参数监视单元删除。

粘性材料

粘性单元的单元删除完全由 *DEPVAR 关键字控制。当损坏已全部累积时 (SDV6 = 1),将标记粘性单元以指示删除。删除粘性单元无需使用 HIN 文件关键字。