皮带节距长度由皮带齿数和周节确定。皮带轨迹以单个皮带轮位置为基础。每个皮带的节径都根据以下表达式确定。调整滑动皮带轮位置以达到标准皮带长度要求。计算使用迭代解决方案来寻找最接近所需滑动皮带轮位置的适当滑动皮带轮位置。
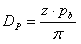
确定精确节径
|
|
顺时针同步皮带轮或双面皮带 |
|
|
|
|
|
顺时针张紧轮或双面皮带 |
|
D p = D + 2(a + h t ) |
|
|
|
逆时针同步皮带轮和单面皮带 |
|
D p = D 0 + 2(H - a - h t ) |
|
|
|
逆时针张紧轮和单面皮带 |
|
D p = D + 2(H - a - h t ) |
使用 2 个皮带轮的功率传动示例
接触弧
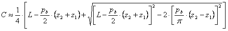
节距皮带长度
中心距
确定新传动装置的中心距时,建议使用下面的公式
0.2 p b (z 1 + z 2 ) ≤ C ≤ 0.7 p b (z 1 = z 2 )
所用变量的含义:
|
z |
给定皮带轮的齿数/皮带齿数 [-] |
|
p b |
周节 [m] |
|
D |
张紧轮公称直径 [m] |
|
a |
节距线偏移 [m] |
|
h t |
皮带齿高度 [m] |
|
D 0 |
同步皮带轮外径 [m] |
|
H |
皮带高度 [m] |
|
C |
给定皮带轮和驱动轮的中心距 [m] |
| β |
接触弧 [deg] |