“纤维取向模型参数”对话框
此对话框用于为长纤维的 ARD-RSC 模型指定值。
要访问此对话框,请将
“纤维取向计算依据”
下拉菜单设置为
“长纤维的 ARD-RSC 模型”
,然后单击
“编辑设置...”
。
小插件
解释
降低的应变闭合因子 - 正交各向异性闭合
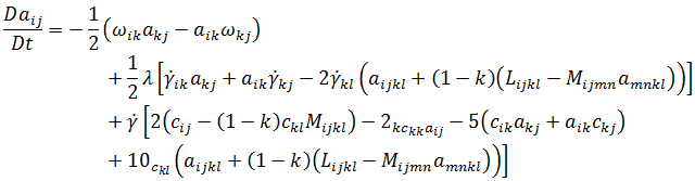
也称为 RSC,这是以下方程中的系数 k:
属于
各向异性旋转扩散模型
b1..b5 参数
b1..b5 参数会影响
各向异性旋转扩散模型
的后续方程,其中旋转扩散张量
是
和
的二次函数,定义为:
父主题:
纤维取向分析