典型剪切速率偏差
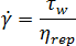
体积剪切速率或典型剪切速率来自壁剪切应力和流动性,是分析过程中的计算量。
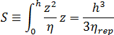
典型粘度
由流动性
计算得出, 而零件的厚度
为:
典型剪切速率则由壁剪切应力和典型粘度计算得出,如下所示:
父主题:
填充分析