纤维取向是确定机械(弹性)强度和成型零件硬度的主要因素之一。
已建立了在已知纤维取向在零件中的分布后预测短纤维复合材料机械属性的原理。
要计算其机械属性,所有的原理都要遵循两个步骤的程序:
因此,这套方法单独说明了纤维长度和纤维取向的影响。
Tandon-Weng 模型作为计算复合材料的单向机械属性的基础。执行 Autodesk Moldflow Insight 还要考虑 Tucker/Liang 对 Tandon-Weng 模型的泊松比计算的处理。
需要作为分析输入的纤维和聚合体的属性有:
(纤维的纵向模量)
(纤维的横向模量)
(纤维的纵向泊松比)
(纤维的纵向剪切模量)
(聚合物的纵向模量)
(聚合物的横向模量)
(聚合物的纵向泊松比)
(聚合物的纵向剪切模量)
(平均纤维长度)
(平均纤维直径)
(纤维的体积因子) 取得复合材料中每个单元的以下基础机械属性:
(纵向模量)
(横向模量)
(平面内剪切模量)
(平面外剪切模量)
(平面内泊松比)
(平面外泊松比) Tandon Weng 模型将经短纤维加强的复合材料作为嵌入有限弹性聚合物矩阵的单向对齐的球形内含物的特殊情况处理。
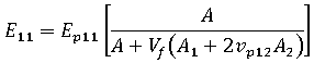
单向对齐系统的纵向模量可以写为:

其中
、
和
是与 Tandon Weng 论文中的参数相关的参数。

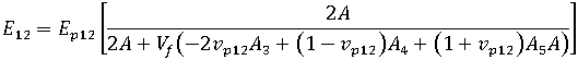
其中
、
、
和
是与 Tandon Weng 论文中的参数相关的参数。
当计算复合材料的纵向和横向模量以及泊松比时,应用 Halpin-Tsai 步骤。





是聚合物的体积模量,定义为 

