Plasticity with Hardening

The following parameters of the model of plasticity with hardening are defined for positive arguments x>0. The value of the derivative needed to define the stiffness is also specified.

Function:

For 0 < u < Dlim is a product of the f pl function defined as for the model of perfect plasticity determined by the following parameters:

and of the linear function describing the hardening:

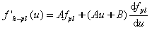
Derivative (stiffness):

Limitations:

Note that the coefficients w and a are linked by the relationship: w is a coefficient of curve filling calculated from the following formula:

and from the formula below the value for the 'a' parameter can be calculated: