关于绘制样条曲线

绘制样条曲线时,尝试使用最简单的线条(或线条组合)获得所需的效果。

例如,可能需要创建与下图类似的线条。

可以使用弧和线的组合或者使用样条曲线创建此线条。 使用样条曲线绘制线时,需要的处理时间要长一些,因此建议,只要可以使用弧和线的组合进行绘制,就不要使用样条曲线。

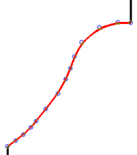
在必须使用样条曲线创建线时,应尽量少使用控制点,以将处理时间保持为最低限度。下图显示的是通过选择许多控制点(蓝点)绘制的样条曲线。

可以使用较少的控制点创建相同的样条曲线,如图所示。