外流下拉框中包含两个选项。这两个选项均适用于经过恒温 ([T]) 平面的层流。两者的区别在于雷诺数和普郎特数的值范围。用于计算雷诺数和普郎特数的方程如下。
其中:
ρ = 流体密度。
U = 流动速度
L = 长度尺度(由用户在“几何体”选项卡中输入)
μ = 流体动态粘度
c p = 流体比热
k = 流体热传导率
将用于计算每个选项的努塞尔数的方程如下。
[T] 沿平板层流(0.6<Pr<50):
[T] 沿平板层流(Pr>>1, Re<500k):
内流下拉框中包含 12 个适用于壳体几何的选项。这些选项将包括紊流和层流以及保持恒温 [T] 或由常热流 [Q] 加热的表面。对于其中的某些选项,努塞尔数将根据雷诺数和普郎特数进行计算,但是有些选项与这些数无关。用于计算雷诺数和普郎特数的方程如下。

其中:
ρ = 流体密度。
U = 流动速度
L = 长度尺度(由用户在“几何体”选项卡中输入)
μ = 流体动态粘度
c p = 流体比热
k = 流体热传导率
流体选项描述中出现的以下术语定义如下:
将用于计算每个选项的努塞尔数的方程如下。将对这些内流方程在体积温度 Tb 时的所有属性求值。
[Q] 层流,圆管(Pr>0.6):
[T] 层流,圆管(Pr>0.6):
[T] 紊流,圆管(Re>10k,L/D>10,热壁):
[T] 紊流,圆管(Re>10k,L/D>10,冷壁):
[Q] 层流,矩形管(Pr>0.6,水):
[T] 层流,矩形管(Pr>0.6,水):
[T] 紊流,矩形管(Re>10k,L/D>10,热壁):
[T] 紊流,矩形管(Re>10k,L/D>10,冷壁):
[Q] 层流,三角形管(Pr>0.6,水):
[T] 层流,三角形管(Pr>0.6,水):
[T] 紊流,三角形管(Re>10k,L/D>10,热壁):
[T] 紊流,三角形管(Re>10k,L/D>10,冷壁):
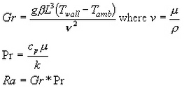
浮力流下拉框中包含 8 个适用于三种壳体几何的选项。这些选项将包括紊流和层流以及保持恒温 [T] 或由常热流 [Q] 加热的表面。努塞尔数将使用格拉斯霍数、普郎特数和瑞利数进行计算。用于计算格拉斯霍数、普郎特数和瑞利数的方程如下。

其中:
g = 重力加速度
β = 热膨胀系数(对于理想气体,β = 1/T,其中,T 是气体的绝对温度。)
L = 长度尺度(用户在“几何体”选项卡中输入的“高度”和“宽度”的平均值)
T wall = 壁面温度
T amb = 流体环境温度
ν = 流体运动粘度
μ = 流体动态粘度
ρ = 流体密度
c p = 流体比热
k = 流体热传导率
将用于计算每个选项的努塞尔数的方程如下。将对这些浮力方程在薄层温度 Tf 时的所有属性求值。
[T] 层流、垂直板:

[T] 紊流,垂直板:

[T] 层流,平板(朝上,100k<Ra<10M):(热板的上表面或冷板的下表面)
[T] 紊流,平板(朝上,20M<Ra<30G):(热板的上表面或冷板的下表面)
[T] 层流,平板(朝下,300k<Ra<30G):(热板的下表面或冷板的上表面)
[Q] 层流,平板(朝上,Ra<200M):(热板的上表面或冷板的下表面)
[Q] 层流,平板(朝上,500M<Ra<100G):(热板的上表面或冷板的下表面)
[Q] 层流,平板(朝下,1M<Ra<100G):(热板的下表面或冷板的上表面)