Duncan-Chang 理论描述

Duncan-Chang 材料模型用于模拟土体。它假设存在应力/应变双曲线关系,并根据三轴土体测试而构建。原始模型假定泊松比为常数(由 Duncan 和 Chang 于 1970 年提出),而修订后的模型则认为,泊松比因应力相关泊松比(E-v 模型,由 Kulhawy 和 Duncan 于 1972 年提出)或应力相关体积模量(E-B 模型,由 Duncan et al 于 1980 年提出)而异。

公式:

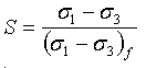
根据标准的三轴土体测试,该模型通过以下双曲线关系近似描绘应力-应变:

     (1)

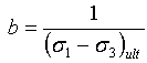
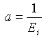
其中,σ1σ3 是最大主应力和最小主应力;ε1 是最大主应变(轴向应变)。在此需要指出的是,我们遵循土体力学中的符号约定,而不是连续介质力学。常数 a 和 b 将通过测试数据校准得出,且可编写为:

     (2)

其中,Ei 是初始切向模量,(σ1 - σ3)ult 是双曲线的渐近值,它通过破坏比率与土体强度相关:

(σ1 - σ3)f = Rf(σ1 - σ3)ult     (3)

很显示,破坏比率 Rf 始终小于 1,且介于 0.75 到 1 之间(由 Duncan 和 Chang 于 1971 年提出)。

     (4)

Duncan-Chang 模型将初始模量定义为:

其中,模量值 K 和模量指数 n 是无量纲材料参数;pa 是公式中用于消除单位制选择效应的大气压力。

土体破坏取决于 Mohr-Coulomb 准则:

     (5)

其中,c 和 φ 是 Mohr-Coulomb 强度参数。对于非凝聚性土体,莫尔包络线通常是弯曲的,变化公式如下:

     (6)

其中,φ0 是围压 σ3 在单位大气压力的摩擦角,Δφ0σ3 增加 10 倍后在 φ 的约简。

切向模量的增量表示公式为:

Et = (1-RfS)2Ei     (7)

其中,S 是应力级别或滑动强度的分数:

     (8)

当 (σ1 - σ3) 小于其历史最大值时,假定土体正在卸载或重新加载,且切向模量定义为:

     (9)

其中,Kur 是卸载-重新加载模量值,且始终大于主载荷模量值 K。卸载-重新加载的模量指数与主载荷相同。

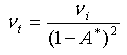
类似地,在 E-v 模型(由 Kulhawy 和 Duncan 于 1972 年提出)中,初始泊松比可以表示为:

     (10)

切线泊松比

     (11)

其中

     (12)

D、F 和 G 是材料参数。

在 E-B 模型(由 Duncan et al. 于 1980 年提出)中,体积模量表示为:

     (13)

其中,Kb 和 m 分别是体积模量值和体积模量指数。

初始应力:

通常需要考虑土体的初始应力状态。当前,该软件提供了均匀静水压力和自重引起的两类初始应力状态。假定这些初始应力处于静力平衡状态,因此不会影响分析中由外施载荷引起的应力和应变值。换而言之,初始应力不会改变“结果”环境中显示的应力结果,也不会导致任何初始位移。如果这种假设不合适,请明确模拟载荷历史。

稳定性:

尽管在标准的三轴压缩测试中,围压 (σ3) 始终大于 0,但在常规有限元分析中,它可以等于或小于 0。在这种情况下,若要确保分析数值稳定,则需一组初始弹性模量。用户可以在材料属性的“高级”选项卡中指定相应值(静止时的杨氏模量和泊松比)。如果未提供,则默认为 E0 = 0.01K*paν0 = 0.499。

土体破坏后(应力级别达到 1),其载荷能力快速流失。若要确保分析稳定,则需一组残余模量。用户可以在“高级”选项卡中指定相应值(破坏时的杨氏模量和泊松比)。如果未提供,则默认为 E1 = 0.001K*paν1 = 0.499。这组值还将用作破坏前的弹性模量下限。

有时,上述稳定模量可能会明显影响仿真结果。尽管静止时的弹性模量可通过试验得出,但通常很难确定 Duncan-Chang 模型的正确破坏模量。不过应当指出的是,Duncan-Chang 模型旨在用于破坏前,且在破坏有限且局部出现的情况下可以接受。

限制:

Duncan-Chang 模型成功分析了许多实际问题,且可以通过标准的三轴压缩测试轻松设置。当三轴测试结果不可用时,文献中还提供了大量可用的模型参数。但是,用户应注意到其重要限制(由 Duncan et al. 于 1980 年提出):

  1. 不考虑中间主应力 σ2
  2. 发生大范围破坏时,结果可能不可靠。
  3. 不考虑因剪切应力变化引起的体积变化(剪胀);
  4. 输入参数不是基本的土体属性,而是适用于有效条件范围的经验值。
  5. 该模型主要用于准静态分析。

参考:

  1. Duncan, J. M. 和 Chang, C. Y., Nonlinear analysis of stress and strain in soils, Journal of the Soil Mechanics and Foundations Division, ASCE, 96(SM5), 1629-1653, 1970.
  2. Kulhawy, F. H. 和 Duncan, J. M., Stresses and movements in Oroville Dam, Journal of the Soil Mechanics and Foundations Division, ASCE, 98(SM7), 653-655, 1972.
  3. 3. Duncan, J. M., Byrne, P., Wong, K. S. 和 Mabry, P., Strength, stress-strain and bulk modulus parameters for finite element analysis of stresses and movements in soil masses, Report No.UCB/GT/80-01, Dept.Civil Engineering, U.C. Berkeley, 1980.