|
|
對於每個皮帶輪 |
|
F 2 - F 1 + F p = 0 |
|
|
|
|
|
|
|
|
|
對於驅動皮帶輪
|
|
v ≤ v max |
|
|
f b ≤ f max |
F c = mv 2
F Tmax = k 1 F p + F c
F 1 = F tmax
F 2 = F 1 - F p
對於單個從動皮帶輪和惰輪
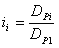
i - 皮帶輪的指數
F Pi = P xi F p
F 1i = F 2i-1
F 2i = F 1i + F p i
其中:
適用於時規皮帶輪
適用於平皮帶輪
對於整個皮帶傳動裝置
需要的皮帶安裝張力根據驅動皮帶輪的力按如下所示確定
帶有惰輪的功率傳輸的範例
|
驅動皮帶輪 |
平惰輪 |
從動皮帶輪 |
|
P x1 = 1 |
P x2 = 0 |
P x3 = 1 |
|
|
|
F P3 = P x3 F p |
|
|
|
|
|
|
|
|
|
|
F 12 = F 21 |
|
|
|
F 22 = F 12 + F p2 = F 12 |
|
|
F c = m v 2 |
|
|
|
F Tmax = k 1 F p + F C |
- |
F 13 = F 22 |
|
F 11 = F Tmax |
- |
F 23 = F 13 + F p3 = F 11 |
|
F 21 = F 11 - F p |
- |
|
|
|
- |
- |
所用變數的意義:
|
F p |
有效拔模 [N] |
|
F 1 |
指定皮帶輪輸入端的皮帶拉力 [N] |
|
F 2 |
指定皮帶輪輸出端的皮帶拉力 [N] |
|
z |
指定皮帶輪的輪齒數目/帶齒數目 [-] |
| β |
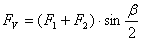
接觸弧形/側面傾斜度的齒角 [deg] |
|
P |
要傳輸的功率 [W] |
|
P R |
給定傳輸配置的皮帶額定功率 [W] |
|
c L |
服務係數 [-] |
| β |
接觸弧 [deg] |
|
T |
作用於給定皮帶輪的扭矩 [Nm] |
|
n |
指定皮帶輪的速度 [rpm] |
|
D p |
皮帶輪節圓直徑 [m] |
|
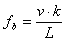
v |
皮帶速度 [m/s] |
|
k |
皮帶傳輸中的皮帶輪數目 [-] |
|
L |
皮帶節距長度 [m] |
|
P |
要傳輸的功率 [W] |
|
m |
指定寬度的特定皮帶重量 [Kg/m] |
|
k 1 |
皮帶拉力係數 [-] |
|
F p |
有效拔模 [N] |
|
F c |
離心力 [N] |
|
F t |
最小皮帶安裝拉力 [N] |
|
P xi |
給定皮帶輪的功率比 [-] |
|
D pi |
皮帶輪節圓直徑 [m] |
|
i |
給定皮帶輪的傳輸比 (速率) [-] |
|
T i |
作用於給定皮帶輪的扭矩 [Nm] |
| η |
效率 [-] |
|
p b |
周節 [m] |
|
D |
平皮帶輪標稱直徑 [m] |
|
H |
皮帶高度 [m] |
|
h T |
帶齒高度 [m] |
|
a |
節距線偏移 [m] |